Log in
Sign up for FREE
arrow_back
Library
2/17 Solving One Step Inequalities
By Alexandra Jones
star
star
star
star
star
Share
share
Last updated about 2 months ago
10 questions
Add this activity
1
1
1
1
1
1
1
1
1
1
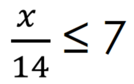
Question 1
1.
Solve and graph in the show your work section.
visibility
View drawing
Question 2
2.
Solve and graph in the show your work section.
visibility
View drawing
Question 3
3.
Solve and graph in the show your work section.
Write your solution using x first
visibility
View drawing
Question 4
4.
Solve and graph in the show your work section.
visibility
View drawing
Question 5
5.
Solve and graph in the show your work section.
Write your solution using x first
visibility
View drawing
Question 6
6.
Solve and graph in the show your work section.
Write your solution using x first
visibility
View drawing
Question 7
7.
Solve and graph in the show your work section.
visibility
View drawing
Question 8
8.
Solve and graph in the show your work section.
visibility
View drawing
Question 9
9.
Solve and graph in the show your work section.
Write your solution using x first
visibility
View drawing
Question 10
10.
Solve and graph in the show your work section.
Write your solution using x first
visibility
View drawing