Log in
Sign up for FREE
arrow_back
Library

CP Unit 6 Optics Test (short)

star
star
star
star
star
Last updated about 2 months ago
9 questions
6
HS-PS4-1
1
HS-PS4-1
1
HS-PS4-1
1
1
Question 1
1.

Identify each situation as either refraction or reflection

  • “Objects in mirror are closer than they appear” on the passenger side mirror
  • Your straw appears to be split in 2 pieces at the edge of the water in your glass.
  • When a wave hits boundary between two media where the wave speeds differ, but the wave stays in the original medium instead of passing into the second medium.
  • You see a car that is behind you in the driver side mirror
  • A rainbow forms on the table after light passes through a glass
Question 2
2.

Which of the following is fundamentally different from the others?

Question 3
3.

Sometimes when you look into a curved mirror you see a magnified image (a great big you) and sometimes you see a diminished image (a little you). If you look at the bottom (convex) side of a shiny spoon, what will you see?

Question 4
4.

You may have seen ambulances on the street with the letters of the word AMBULANCE written on the front of them, in such a way as to appear correctly when viewed in your car's rear-view mirror. (See the figure.) How do the letters appear when you look directly at the ambulance (not through the mirror)?

Question 5
5.

A diver shines light up to the surface of a smooth pond at a 10-degree angle to the normal. Some light passes into the air above, and the part that reflects back into the water makes an angle to the normal of

The figure is a scaled diagram of a object and a converging lens. The focal length of the lens is 5.0 units. An object is placed 3.0 units from the lens as shown.
4
Question 6
6.

Create a ray diagram to help you answer the questions below.
The figure is a scaled diagram of a object and a converging lens. The focal length of the lens is 5.0 units. An object is placed 3.0 units from the lens as shown.

1
Question 7
7.

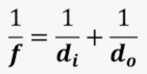
What is the image distance?

1
4
The change of the direction of waves when they pass into a medium where they have a different speed.
Refraction
Reflection
light waves
radio waves
You will see a little you, right side up.
You will see a little you, but whether you are right side up or upside down depends on how near you are to the spoon.
You will either see a little you or a great big you, depending on how near you are to the spoon.
C
D
E
Question 8
8.

The object has a height of 1.5 units. What is the approximate height of the image?

Question 9
9.
Describe the image:
Size: __________ Attitude: __________ Location: __________ Type: __________