Log in
Sign up for FREE
arrow_back
Library
Copy of Kinematics Practice (6/7/2024)
By Trevor Townsend
star
star
star
star
star
Share
share
Last updated almost 2 years ago
30 questions
Add this activity
1
3
4
6
7
9
10
12
2
5
8
11
zoom_in
1
1
1
1
1
1
1
1
1
1
1
1
13
15
16
18
19
21
22
24
25
27
28
30
14
17
20
23
26
29
zoom_in
1
1
1
1
1
1
1
1
1
1
1
1
1
1
1
1
1
1
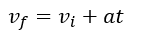
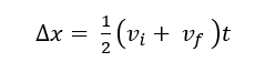
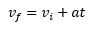
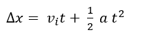
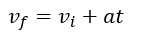
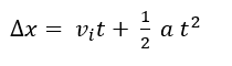
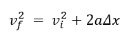
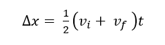
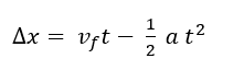
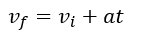
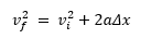
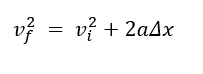
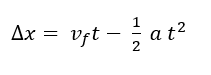
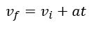
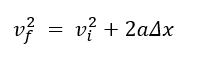
Question 1
1.
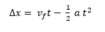
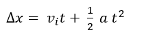
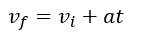
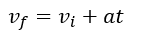
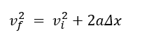
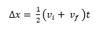
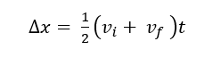
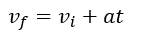
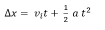
Which formula did you use for this problem?
Question 2
2.
What answer did you get for this problem ?
( no units just the number using sig figs)
Question 3
3.
What were your units for this problem?
s
m/s
m/s^2
m
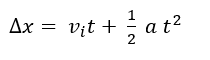
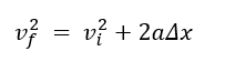
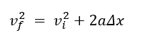
Question 4
4.
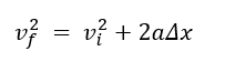
Which formula did you use for this problem?
Question 5
5.
What answer did you get for this problem ?
( no units just the number using sig figs)
Question 6
6.
What were your units for this problem?
m/s
s
m/s^2
m
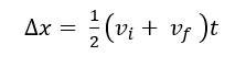
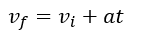
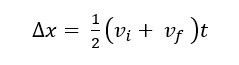
Question 7
7.
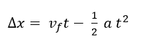
Which formula did you use for this problem?
Question 8
8.
What answer did you get for this problem ?
( no units just the number using sig figs)
Question 9
9.
What were your units for this problem?
m/s
s
m/s^2
m
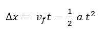
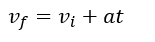
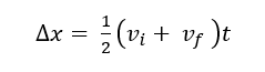
Question 10
10.
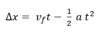
Which formula did you use for this problem?
Question 11
11.
What answer did you get for this problem ?
( no units just the number using sig figs)
Question 12
12.
What were your units for this problem?
m/s
s
m/s^2
m
Question 13
13.
Which formula did you use for this problem?
Question 14
14.
What answer did you get for this problem ?
( no units just the number using sig figs)
Question 15
15.
What were your units for this problem?
m/s
s
m/s^2
m
Question 16
16.
Which formula did you use for this problem?
Question 17
17.
What answer did you get for this problem ?
( no units just the number using sig figs)
Question 18
18.
What were your units for this problem?
m/s
s
m/s^2
m
Question 19
19.
Which formula did you use for this problem?
Question 20
20.
What answer did you get for this problem ?
( no units just the number using sig figs)
Question 21
21.
What were your units for this problem?
m/s
s
m/s^2
m
Question 22
22.
Which formula did you use for this problem?
Question 23
23.
What answer did you get for this problem ?
( no units just the number using sig figs)
Question 24
24.
What were your units for this problem?
m/s
s
m/s^2
m
Question 25
25.
Which formula did you use for this problem?
Question 26
26.
What answer did you get for this problem ?
( no units just the number using sig figs)
Question 27
27.
What were your units for this problem?
m/s
s
m/s^2
m
Question 28
28.
Which formula did you use for this problem?
Question 29
29.
What answer did you get for this problem ?
( no units just the number using sig figs)
Question 30
30.
What were your units for this problem?
m/s
s
m/s^2
m