Log in
Sign up for FREE
arrow_back
Library

Biomolecules Part 2 Practice

star
star
star
star
star
Last updated almost 2 years ago
17 questions
1
1
1
1
1
1
1
1
1
1
1
1
1
1
1
1
1
Question 1
1.

Question 2
2.

What is the monomer of a nucleic acid?

Question 3
3.

Draggable itemarrow_right_altCorresponding Item
arrow_right_alt
arrow_right_alt
arrow_right_alt
Question 4
4.

Question 5
5.

What reaction occurs to bind together nucleotides?

Question 6
6.

What are the attractions between the two strands of DNA called?

Question 7
7.

Question 8
8.

Question 9
9.

What is the monomer of a protein (not an example but the overall name)?

Question 10
10.

Question 11
11.

How many different amino acids are there?

Question 12
12.

What is the name of the bond formed between amino acids?

Question 13
13.

What reaction occurs to bind together amino acids?

Question 14
14.

What is the polymer of a protein called?

Question 15
15.

Question 16
16.

What reaction occurs to break down proteins into amino acids?

Question 17
17.

Draggable itemarrow_right_altCorresponding Item
arrow_right_alt
arrow_right_alt
arrow_right_alt
arrow_right_alt
arrow_right_alt
arrow_right_alt
arrow_right_alt
arrow_right_alt
arrow_right_alt
arrow_right_alt
arrow_right_alt
Sort the following:
Ex: RNA
Are involved in structural support of the cell, transportation, storage, etc.
Made up of amino acids
Ex: DNA
Instructions for how to make proteins
Genetic material
Made up of nucleotides
Ex: enzymes
Nucleic Acids
Proteins
Match the following:

B
Phosphate
C
Pentose sugar
A
Nitrogenous base
Which of the following are the nitrogenous bases in DNA?
Adepine (A)
Cystosine (C)
Guanine (G)
Cytosine (C)
Uracil (U)
Thyogine (T)
Adenine (A)
Thymine (T)
Categorize the following:
Tell your body/cells how to make proteins
Has the sugar ribose
Has adenine (A) and thymine (T) nitrogenous bases
Single stranded
Original instructions for how to make proteins
Has the sugar deoxyribose
Has adenine (A) and uracil (U) nitrogenous bases
Has guanine (G) and cytosine (C) nitrogenous bases
Is a polymer
Double stranded
Is a copy of a gene that has the instructions for how to make one protein
Deoxyribonucleic acid
Ribonucleic acid
Is made up of nucleotides
Is a nucleic acid
DNA
RNA
Both DNA and RNA
Which of the following are major functions of proteins?
Storage
Hormones
Transport
Enzymes
Defense
Receptors
Structure
Energy
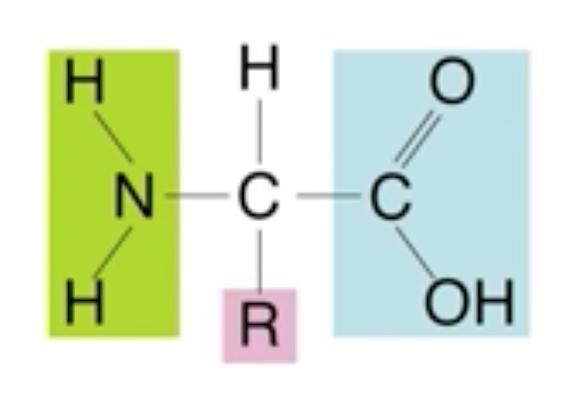
Which part of this amino acid is different/changes between different amino acids?

A
B
C
Before a protein can be functional what must happen to its structure?
It must be folded into its correct shape
It must be broken down into amino acids
It must be dissolved in water
It must be combined with a carbohydrate molecule
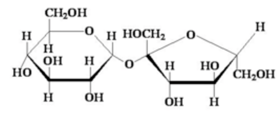
Match the following:
Glucose
Fructose
Sucrose
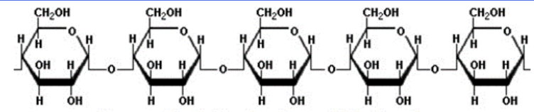
Starch/polysaccharide
Triglyceride
Phospholipid
Steroid
Amino acid
DNA
RNA
Nucleotide