4.2 Substitution Method (Due 2/21/25)
star
star
star
star
star
Last updated 8 months ago
11 questions
Required
12
Match the solutions to the equivalent ordered pair.
Match the solutions to the equivalent ordered pair.
- x=0 and y=8
- x=5 and y=7
- y=2 and x=3
- x=7 and y=5
- x=2 and y=3
- y=3 and x=-2
- (2,3)
- (-2,3)
- (7,5)
- (5,7)
- (3,2)
- (0,8)
Required
5
| Draggable item | arrow_right_alt | Corresponding Item |
|---|---|---|
| arrow_right_alt | ||
| arrow_right_alt | ||
| arrow_right_alt | ||
| arrow_right_alt | ||
| arrow_right_alt |
Required
20
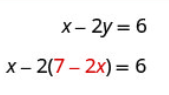
Directions: Solve each system by substitution.
Be sure to write your solution in coordinate form (x,y)
Directions: Solve each system by substitution.
Be sure to write your solution in coordinate form (x,y)
Required
20
Directions: Solve each system by substitution.
Be sure to write your solution in coordinate form (x,y)
Directions: Solve each system by substitution.
Be sure to write your solution in coordinate form (x,y)
Required
20
Directions: Solve each system by substitution.
Be sure to write your solution in coordinate form (x,y)
Directions: Solve each system by substitution.
Be sure to write your solution in coordinate form (x,y)
Required
20
Directions: Solve each system by substitution.
Be sure to write your solution in coordinate form (x,y)
Directions: Solve each system by substitution.
Be sure to write your solution in coordinate form (x,y)
Required
20
Directions: Solve each system by substitution.
Be sure to write your solution in coordinate form (x,y)
Directions: Solve each system by substitution.
Be sure to write your solution in coordinate form (x,y)
Required
20
Directions: Solve each system by substitution.
Be sure to write your solution in coordinate form (x,y)
Directions: Solve each system by substitution.
Be sure to write your solution in coordinate form (x,y)
Required
20
Directions: Solve each system by substitution.
Be sure to write your solution in coordinate form (x,y)
Directions: Solve each system by substitution.
Be sure to write your solution in coordinate form (x,y)
Required
20
Directions: Solve each system by substitution.
Be sure to write your solution in coordinate form (x,y)
Directions: Solve each system by substitution.
Be sure to write your solution in coordinate form (x,y)
Required
20
Directions: Solve each system by substitution.
Be sure to write your solution in coordinate form (x,y)
Directions: Solve each system by substitution.
Be sure to write your solution in coordinate form (x,y)