Log in
Sign up for FREE
arrow_back
Library

4.4 Linear Equation Review (Due 2/25/25)

star
star
star
star
star
Last updated about 1 month ago
11 questions
Required
30
Required
20
Required
20
Required
20
Required
20
Required
20
Required
20
Required
20
Required
20
Required
20
Required
20
Essential Question: How can you solve a system of equations algebraically?

Learning Target: Students will be able to use the elimination method or the substitution method to solve a system of equations that represent real-world situations.

Complete the entire assignment and show work for full credit.

Solving Linear Equations using Elimination or Substitution

Question 1
1.
  • Elimination Method
Question 2
2.
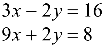
Solve the following system of equations using elimination or substitution.

Solution [Remember to put your answer in coordinate form (x,y)]:
_______

Remember to show your work for credit. No work means 0 points. Phantom work means 0 points.
Question 3
3.
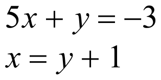
Solve the following system of equations using elimination or substitution.

Solution [Remember to put your answer in coordinate form (x,y)]:
_______


Remember to show your work for credit. No work means 0 points. Phantom work means 0 points.
Question 4
4.
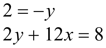
Solve the following system of equations using elimination or substitution.

Solution [Remember to put your answer in coordinate form (x,y)]:
_______

Remember to show your work for credit. No work means 0 points. Phantom work means 0 points.
Question 5
5.
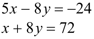
Solve the following system of equations using elimination or substitution.

Solution [Remember to put your answer in coordinate form (x,y)]:
_______

Remember to show your work for credit. No work means 0 points. Phantom work means 0 points.
Question 6
6.
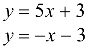
Solve the following system of equations using elimination or substitution.

Solution [Remember to put your answer in coordinate form (x,y)]:
_______

Remember to show your work for credit. No work means 0 points. Phantom work means 0 points.
Question 7
7.
Solve the following system of equations using elimination or substitution.

Solution [Remember to put your answer in coordinate form (x,y)]:
_______

Remember to show your work for credit. No work means 0 points. Phantom work means 0 points.
Question 8
8.
Solve the following system of equations using elimination or substitution.

Solution [Remember to put your answer in coordinate form (x,y)]:
_______

Remember to show your work for credit. No work means 0 points. Phantom work means 0 points.
Question 9
9.
Solve the following system of equations by graphing.

Solution [Remember to put your answer in coordinate form (x,y)]:
_______

Remember to show your work for credit. No work means 0 points. Phantom work means 0 points.
Question 10
10.
Solve the following system of equations by graphing.

Solution [Remember to put your answer in coordinate form (x,y)]:
_______

Remember to show your work for credit. No work means 0 points. Phantom work means 0 points.
Question 11
11.
Solve the following system of equations by graphing.

Solution [Remember to put your answer in coordinate form (x,y)]:
_______

Remember to show your work for credit. No work means 0 points. Phantom work means 0 points.
Substitution Method