Essential Question: What are quadratic functions and how can I graph them?
Learning Target: Students will be able to recognize the critical characteristics of the graph of quadratic functions and create the graph representing quadratic functions.
Show your work for full credit.
Remember to use complete sentences when answering written answers.
Day 1 10/29/24
Exploring Graphing Quadratic Functions
10 points
10
Question 1
1.
Warm-Up
What are the critical values of this absolute value function:
y=2|x+2|+2
2) Use the critical values of this equation to graph it.
Required
20 points
20
Question 2
2.
Warm-Up
Fill out the table and use the graph on the left to create a parabola from the quadratic function:
Required
20 points
20
Question 3
3.
List one way that the graph of the absolute function is the same as the quadratic function?_______
What is one way that the graph of theabsolute function is different from the quadratic function?_______
Required
5 points
5
Question 4
4.
Exploration
How does the a affect the function
compared to the original function
What happens to the function when a>1
_______
What happens to the function when a<0 (negative)
_______
Required
5 points
5
Question 5
5.
Exploration
How does the h affect the function
compared to the original function
What happens to the function when h is positive?
_______
What happens to the function when h is negative?
_______
5 points
5
Question 6
6.
Exploration
How does the k affect the function
compared to the original function
What happens to the function when k is positive?
_______
What happens to the function when k is negative?
_______
Required
10 points
10
Question 7
7.
Exit Ticket
The quadratic function
has a horizontal shift of ____________________ and a vertical shift of____________________ and is pointed __________
Features of Quadratic Functions
Watch this video covering the basics about quadratic functions
Required
2 points
2
Question 8
8.
According to the video, all quadratic functions are "U" shaped. What is another term that describes the shape of a quadratic function?
Required
2 points
2
Question 9
9.
According to the video, what is the name of the middle point of a quadratic function? This point lies on the axis-of symmetry.
Required
2 points
2
Question 10
10.
According to the video, if the vertex is lowest point of a parabola it is called the __________?
Required
2 points
2
Question 11
11.
The axis of symmetry of a quadratic function sometimes does not pass through the vertex?
Required
5 points
5
Question 12
12.
What is the vertex of this parabola? Name the coordinate.
_______
Required
5 points
5
Question 13
13.
What is the axis of symmetry of this quadratic function? It should be in the form of x=h.
Required
5 points
5
Question 14
14.
What is the vertex of this parabola? Name the coordinate.
Required
5 points
5
Question 15
15.
What is the axis of symmetry of this quadratic function? It should be in the form of x=h.
Required
5 points
5
Question 16
16.
What is the vertex of this parabola? Name the coordinate.
Required
5 points
5
Question 17
17.
What is the axis of symmetry of this quadratic function? It should be in the form of x=h.
Required
10 points
10
Question 18
18.
What does the vertex of this quadratic function represent?
Day 2 10/30/24
Essential Question: How do transformations effect the parent function:
Learning target: Students will use the vertex formula:
to make transformations to the parent function:
Show work for credit
More Features of Quadratic Functions
30 points
30
Question 19
19.
Fill out the table and use the graph on the left to create a parabola from the quadratic function:
Required
5 points
5
Question 20
20.
How do negative values for a affect the function
compared to the original function
Required
20 points
20
Question 21
21.
Guided Practice: Stretching Quadratic Functions
Fill out the table and use the graph on the left to create a parabola from the quadratic function:
Required
5 points
5
Question 22
22.
How do inputting numbers between 0 and 1 for a affect the function
compared to the original function
Essential Question: How do transformations effect the parent function:
Learning target: Students will use the vertex formula:
to make transformations to the parent function:
Show work for credit
Required
10 points
10
Question 23
23.
Required
12 points
12
Question 24
24.
Describe the transformation of:
Stretch or Compression?(If a=1 or a=-1, then write none)_______
Opens upward or downward?_______
Horizontal shift? (If there is no shift write none)_______
Vertical shift? (If there is no shift write none)_______
Axis of Symmetry? (x=h)_______
Vertex (h,k)_______
Required
12 points
12
Question 25
25.
Describe the transformation of:
Stretch or Compression?(If a=1 or a=-1, then write none)_______
Opens upward or downward?_______
Horizontal shift? (If there is no shift write none)_______
Vertical shift? (If there is no shift write none)_______
Axis of Symmetry? (x=h)_______
Vertex (h,k)_______
Required
12 points
12
Question 26
26.
Describe the transformation of:
Stretch or Compression?(If a=1 or a=-1, then write none)_______
Opens upward or downward?_______
Horizontal shift? (If there is no shift write none)_______
Vertical shift? (If there is no shift write none)_______
Axis of Symmetry? (x=h)_______
Vertex (h,k)_______
Required
12 points
12
Question 27
27.
Describe the transformation of:
Stretch or Compression?(If a=1 or a=-1, then write none)_______
Opens upward or downward?_______
Horizontal shift? (If there is no shift write none)_______
Vertical shift? (If there is no shift write none)_______
Axis of Symmetry? (x=h)_______
Vertex (h,k)_______
Required
12 points
12
Question 28
28.
Describe the transformation of:
Stretch or Compression?(If a=1 or a=-1, then write none)_______
Opens upward or downward?_______
Horizontal shift? (If there is no shift write none)_______
Vertical shift? (If there is no shift write none)_______
Axis of Symmetry? (x=h)_______
Vertex (h,k)_______
Required
10 points
10
Question 29
29.
Graph this function:
Required
10 points
10
Question 30
30.
Graph this function:
Required
30 points
30
Question 31
31.
Guided Practice: Graph the function and state the vertex.
Required
15 points
15
Question 32
32.
Graph the function and state the vertex.
Required
15 points
15
Question 33
33.
Graph the function and state the vertex.
Day 3 10/31/24
Essential Question: How can you change the vertex form of a quadratic function to standard form?
Learning Target: Students will be able to convert vertex form of a quadratic function into standard form of a quadratic function.
Exploring Standard Form of a Quadratic Equation:
How to find the Vertex in Standard Form
Essential Question: How can you change the vertex form of a quadratic function to standard form?
Learning Target: Students will be able to convert vertex form of a quadratic function into standard form of a quadratic function.
Required
20 points
20
Question 34
34.
Guided Practice: Graphing Standard Form
What is the graph of the function?
Be sure to include relevant graph detail: use the axis of symmetry and vertex to sketch the graph and use arrows to represent end behavior.
Required
20 points
20
Question 35
35.
Guided Practice: Graphing Standard Form
What is the graph of the function?
Be sure to include relevant graph detail: use the axis of symmetry and vertex to sketch the graph and use arrows to represent end behavior.
Required
20 points
20
Question 36
36.
Graphing Standard Form
What is the graph of the function?
Be sure to include relevant graph detail: use the axis of symmetry and vertex to sketch the graph and use arrows to represent end behavior.
Required
20 points
20
Question 37
37.
Graphing Standard Form
What is the graph of the function?
Be sure to include relevant graph detail: use the axis of symmetry and vertex to sketch the graph and use arrows to represent end behavior.
Day 4 11/1/24
Interpreting Vertex Form and Standard Form
Review Finding the Square of a Binomial
Required
20 points
20
Question 38
38.
Guided Practice:
Find the square of this binomial:
Required
20 points
20
Question 39
39.
Guided Practice:
Find the square of this binomial:
Converting Quadratic Equations from Vertex Form into Standard Form
Required
10 points
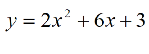
10
Question 40
40.
How do you convert Vertex Form into Standard Form?
Video Tutorial: Hot to convert Vertex Form into Standard Form
Required
20 points
20
Question 41
41.
Change the vertex form to standard quadratic form:
Required
20 points
20
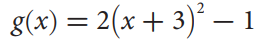
Question 42
42.
Change the vertex form to standard quadratic form.
Required
10 points
10
Question 43
43.
Change the vertex form to standard quadratic form.
10 points
10
Question 44
44.
Change the vertex form to standard quadratic form.
10 points
10
Question 45
45.
Change the vertex form to standard quadratic form.
10 points
10
Question 46
46.
Change the vertex form to standard quadratic form.
Review
Required
10 points
10
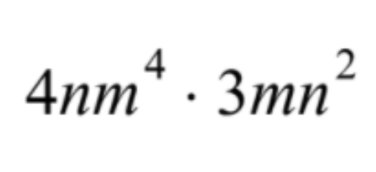
Question 47
47.
Simplify this expression:
Required
2 points
2
Question 48
48.
Classify the polynomial below based on the number of terms.
Required
2 points
2
Question 49
49.
Classify the polynomial below based on its degree.
Required
10 points
10
Question 50
50.
Find the difference between these polynomials. (subtract them)