Log in
Sign up for FREE
arrow_back
Library

MC IM2 S1 Final

star
star
star
star
star
Last updated about 2 hours ago
16 questions
Required
20
Required
20
Required
20
Required
20
Required
30
Required
80
Required
20
Required
60
Required
40
Required
40
Required
40
Required
60
Required
40
A.CED.2
F.IF.4
Required
20
Required
20
Required
80
This is the Semester 1 Final for IM 2.

You may use your notes, homework, and study guides. Remember to show your work on all problems that require it.

And double remember to answer every question. You will receive credit for any work you do.

Good Luck!
Question 1
1.

Simplify this expression that contains radicals.

Question 2
2.

Simplify. Your answer should not have negative exponents.

Question 3
3.
Identify and classify the parts of this polynomial:

Degree (first, second, third, etc.)_______

# of Terms (1, 2, 3, etc.):_______

Put the polynomial in descending order. (Highest exponent to lowest exponent)
_______
Question 4
4.



Find the Product of these polynomials.

Question 5
5.

Find the Product of this binomial * trinomial using the box method.

Question 6
6.
Write an expression in simplest form to represent the perimeter of the larger rectangle.
_______

Write an expression in simplest form to represent the area of the larger rectangle.
_______

What is the area of the shaded region?
_______

If x = 5 feet, how much longer is the perimeter of the larger rectangle?
_______

Question 7
7.

Match the inequality and interval with the correct graph.

Question 8
8.
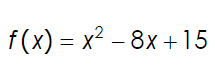
Use interval notation to describe the domain and range of this function.

Domain:_______
Range:_______


For what interval of x is the function f(x):

Increasing?
_______
Decreasing?
_______

Negative?
_______
Positive?
_______
Question 9
9.
Solve this absolute Value equation:


+ Case
_______
- Case
_______


Question 10
10.

Solve and graph this absolute value inequality:



Question 11
11.
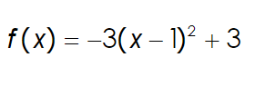
1)What are the critical values of this absolute value function:


Opens (upward or downward)
_______
Stretch or Compression?(If a=1 or a=-1, then write none)
_______
Axis of Symmetry
_______
Vertex
_______

2) Use the critical values of this equation to graph it.
Question 12
12.
Describe the transformation of:


Stretch or Compression?(If a=1 or a=-1, then write none)_______
Opens upward or downward?_______
Horizontal shift? (If there is no shift write none)_______
Vertical shift? (If there is no shift write none)_______
Axis of Symmetry? (x=h)_______
Vertex (h,k)_______

Graph the parabola.

Question 13
13.

What is the graph of the function?

Question 14
14.
Solve the following Quadratic function:
(6x + 12)(5x - 15) = 0

x=_______

x=_______
Question 15
15.
Solve the following Quadratic function:



x=_______
x=_______
Question 16
16.
A rock is thrown off a bridge 40 feet above a river at an initial velocity of 96 feet per second. The height h, in feet, of the rock t seconds after it was thrown can be modeled by the function h(t) = -16t² + 96t + 40.

For all your answers round to two decimal places.


What is the rock's maximum height?
_______

When is the rock at its maximum height?
_______

After how many seconds did it hit the ground?
_______

Find the height of the rock 4 seconds after it was thrown.
_______