Log in
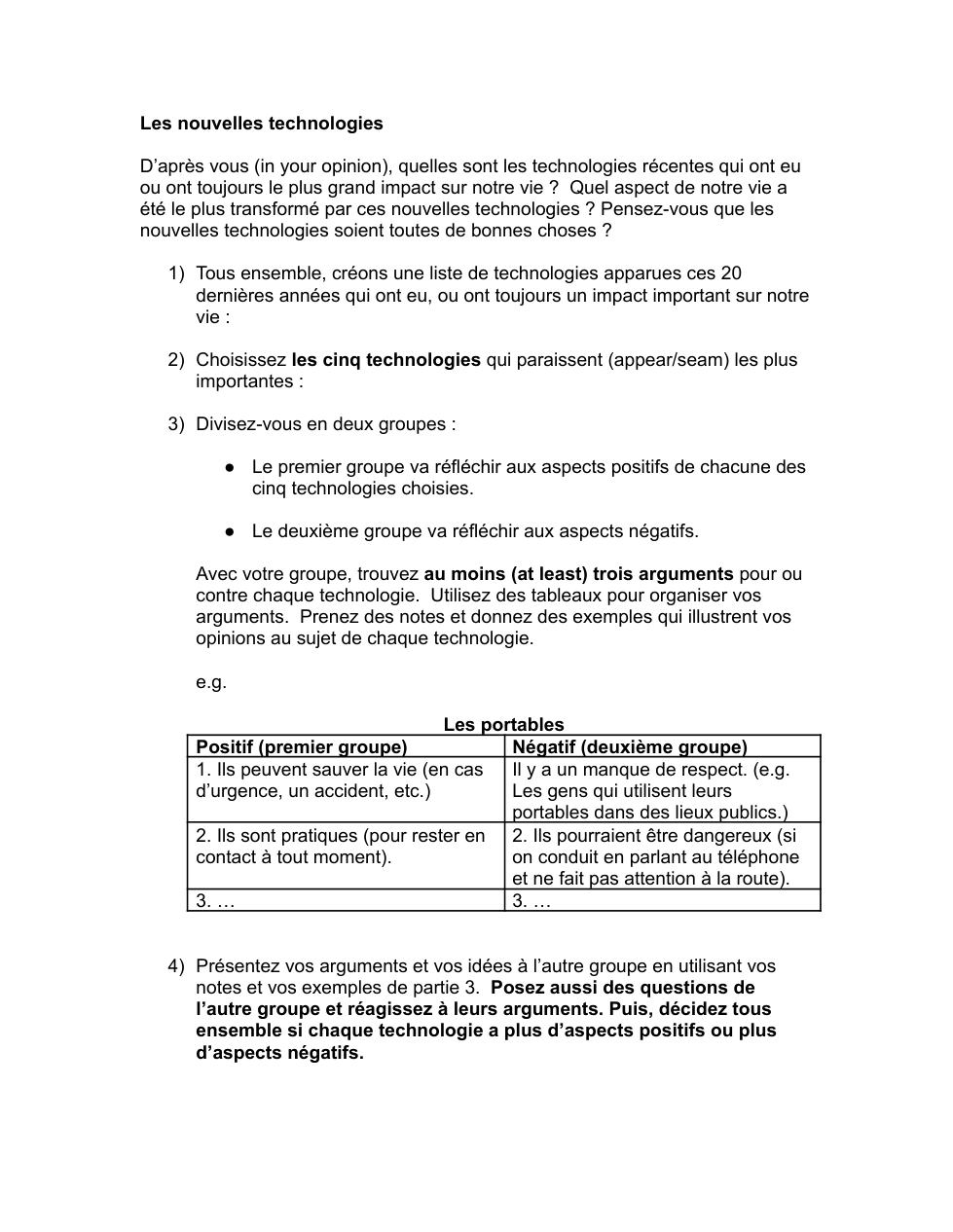
Sign up for FREE
arrow_back
Library

Fr 4: Le subjonctif et le subjonctif passé

star
star
star
star
star
Last updated 6 days ago
0 questions
Si j’avais été absente hier, qu’est-ce que tu aurais fait?
manger -->ils mangent - ent --> mang

il faut que/qu'
je mange
tu manges
il mange
nous mangions
vous mangiez
ils mangent
vendre --> ils vendent - ent -> vend
il faut que/qu'

je vende
tu vendes
elle vende
nous vendions
vous vendiez
elles vendent
finir

il faut que/qu'

je finisse
tu finisses
iel finisse
nous finissions
vous finissiez
ils finissent
se peigner --> ils se peignent - ent --> peign

il faut que/q'

je me peigne
tu te peignes
il se peigne
nous nous peignions
vous vous peigniez
iels se peignent
1. mange
2. vendes
3. finissions
4. vous laviez
5. écrive
6. lisent
7. riions
8. vous attendiez
Utilisez ce site web! - The subjunctivisor!
On ne peut pas répéter le sujet au subjonctif:

Je suis contente que tu viennes avec toi. - oui!
Je suis contente que je vienne avec toi -- non!
solution: Je suis contente de venir avec toi.

Si vous ne pouvez répéter le sujet, employez, l'infinitif (avec de et être)

Je doute que j'aille au cinéma. non!
Je doute aller au cinéma. oui!

Oui: Il est douteux qu'il vienne parce que le premier "il" est "it".
Il est probable que + l'indicatif (le présent/le futur)
Il est probable que je fais mon lit.
Il est possible que je fasse mon lit.

Il est certain/sûr que je peux comprendre le subjonctif.
Il n'est pas certain/sûr que puisse comprendre le subjonctif


Si vous ne pouvez répéter le sujet, employez, l'infinitif (avec de et être)
Je doute que j'aille au cinéma. non!
Je doute aller au cinéma.
Text
00:00
keyboard_arrow_down
la chasse-neige: snow plow

Quelle est l’expression du subjonctif utilisée par le docteur?
Lien pour le document
réponses
Qu’est-ce qui est douteux que tu fasses après l’école ? Qu’est-ce qui est certain que tu fais ?
indicatif = présent ou futur
conjonction + que + sujet/verbe

(parce que + sujet/verbe + l'indicatif)
Parce que tu pars, je vais pleurer.

après que + l'indicatif

Après que tu pars, tu vas trouver un restaurant.

avant que + le subjonctif (subjunctive)
Avant que tu partes, tu vas te maquiller.
que + sujet/verbe
de + infinitif
Text
00:00
keyboard_arrow_down
Lien pour le document
réponses
Lien pour le document
réponses
Roxxem!
Est-il possible qu'il y ait de la vie sur d'autres planètes? Pourquoi ou pourquoi pas ?
Lien pour le document: L'an 3000
Se peut-il que tu aies téléchargé un virus sur ton ordinateur ? Pourvu que tu en aies téléchargé un, que feras-tu ?
Révisons les devoirs + cahier d'activités 2 et 3
2. Un garçon pessimiste Lise et Julien sont en train de travailler. Lise est optimiste et Julien est très pessimiste. Écoutez ce que dit Lise, puis donnez les réponses de Julien, suivant le modèle. Utilisez le subjonctif et des pronoms.

Modèle:
Vous entendez: Cet ordinateur est très rapide.
Vous lisez: Je ne suis pas sûr
Vous répondez: Je ne suis pas sûr que cet ordinateur soit très rapide.

  1. Il n'est pas évident
  2. Il est douteux
  3. Je ne crois pas
  4. Je ne suis pas sûr
  5. Il est peu probable
  6. Il est impossible
3. De bonnes raisons? Plusieurs amis devaient se retrouver pour aller à une conférence ce matin, mais personne n'est venu. Suivez le modèle et utilisez le subjonctif passé et les expressions de doute données pour expliquer pourquoi.

Modèle:
Vous entendez: Paul a oublié la conférence.
Vous lisez: Il est possible qu'il
Vous répondez: Il est possible qu'il ait oublié la conférence.
  1. Il se peut qu'ils
  2. Il est possible qu'elle
  3. Il semble que vous
  4. Il semble qu'il
Lien pour le document
Se peut-il que Mme Goldstein soit un extraterrestre, une clone, ou un robot? Comment tu le sais?
Lien pour le document
Avant de discuter votre dernier projet, je vous rappelle que votre écoute interprétative et votre production orale interpersonnelle sont le 21 mai. N'oubliez pas d'étudier et de vous préparer!
Votre projet!
Est-il possible que tu sois clonée ? Pourquoi ou pourquoi pas ? Comment le sais-tu ?
Gimkit: Les expressions impersonnelles
Gimkit: Le subjonctif passé
Gimkit: Le subjonctif et l'indicatif
Gimkit: Le subjonctif avec des conjonctions
Toucher a Lune par Maheva

Paroles:
Comme une envie d’autres choses
Les mêmes gens, la ville rose
Rien de nouveau ce matin
Faudrait que je parte, enfin que j’ose (dare)
Avant que dedans ça explose
Dis moi qu’est ce qui me retient
De laisser tout
Tout ce qui m’empêche (hinders) d’aller au bout
Au bout de c’qui me reste
J’ai fait le tour
Ça y est rien ne me retient
Je m’abandonne, c’est pas si dur
Toucher la lune les yeux fermés
Sur les douleurs, les blessures
Dans le cœur, les ratures
J’irai, j'irai, j'irai toucher la lune les yeux fermés
Sur vos rumeurs, vos murmures
Plus peur, voyez comme je sature (I'm fed up)
J’irai, j'irai, j'irai toucher la lune les yeux fermés
Sur les douleurs, les blessures
Dans le cœur, les ratures (erasures)
J’irai, j'irai, j'irai toucher la lune les yeux fermés
Sur vos rumeurs, vos murmures
Plus peur, voyez comme je sature
J’irai, j'irai, j'irai toucher la lune les yeux fermés
Aller aller aller
Toucher la lune les yeux fermés
Aller aller aller
Toucher la lune
Aller aller aller
Toucher la lune les yeux fermés
Aller aller aller
Toucher la lune
Je rentrerai quand j’aurais trouvé
Tout ce qui me manque
Et j’aurais tellement à raconter
Qu’on me trouvera chiante
Et quand j’aurai plus rien à dire
Alors ce sera facile
De me retourner et partir en exil
De laisser tout
Tout ce qui m’empêche d’aller au bout
Au bout de c’qui me reste
J’ai fait le tour
Ça y est rien ne me retient
Je m’abandonne, c’est pas si dur
Toucher la lune les yeux fermés
Sur les douleurs, les blessures
Dans le cœur, les ratures
J’irai, j'irai, j'irai toucher la lune les yeux fermés
Sur vos rumeurs, vos murmures
Plus peur, voyez comme je sature
J’irai, j'irai, j'irai toucher la lune les yeux fermés
aller aller aller
Toucher la lune les yeux fermés
Aller aller aller
Toucher la lune
Aller aller aller
Toucher la lune les yeux fermés
Aller aller aller
Toucher la lune

Questions de compréhension/discussion:

1. Trouvez des exemples du subjonctif, du futur simple, et du conditionnel passé.

2. Expliquez la signification de la chanson et surtout les paroles "j'irai toucher la lune les yeux fermés."

3. Et vous, pouvez-vous citer des exemples de votre vie ou dans le monde de quand vous ou quelqu'un d'autre avez/a voulu "toucher la lune les yeux fermés?"
1. Il n'est pas évident que tu puisses...
2. Il est douteux que ces deux.... soient
3. Je ne crois pas... ait
4. Je ne suis pas sûr que le web offre....
5. Il est peu probable que télécharge...
6. Il est impossible que nous finissions...
1. ont eu --> aient eu
2. s'est réveillée --> soit réveillée
3. nous nous sommes perdus --> nous nous soyons perdus
4. est venu --> soit venu