Log in
Sign up for FREE
arrow_back
Library
Copy of ALGEBRA 1 - UNIT 7 - POLYNOMIALS OPERATIONS AND MODELS - EXAM (8/9/2024)
By Katherine Kisby
star
star
star
star
star
Share
share
Last updated about 2 months ago
20 questions
Add this activity
2
2
2
2
2
2
2
2
2
2
3
3
3
3
3
3
3
3
3
4
Question 1
1.
LEVEL 2
What is the product of (10a)(8C)?
18ac
80(a + c)
80ac
visibility
View drawing
Question 2
2.
LEVEL 2
visibility
View drawing
Question 3
3.
LEVEL 2
What is the product of
SHOW YOUR WORK
visibility
View drawing
Question 4
4.
LEVEL 2
Which expression is equivalent to
SHOW YOUR WORK
visibility
View drawing
Question 5
5.
LEVEL 2
SHOW YOUR WORK
visibility
View drawing
Question 6
6.
LEVEL 2
Complete the table with the correct values for the degree of the polynomial and its leading coefficient.
Other Answer Choices:
drag_indicator
3
drag_indicator
12
drag_indicator
7
drag_indicator
17
drag_indicator
8
drag_indicator
4
drag_indicator
4
drag_indicator
5
visibility
View drawing
Question 7
7.
LEVEL 2
Factor the GCF of
2x(x + 3)
2(x + 3)
6x(x + 3)
visibility
View drawing
Question 8
8.
LEVEL 2
Factor the GCF of
visibility
View drawing
Question 9
9.
LEVEL 2
Factor the quadratic:
(x - 8)(x + 1)
(x + 7)(x - 1)
(x - 7)(x + 1)
visibility
View drawing
Question 10
10.
LEVEL 2
Factor the quadratic:
(64x + 9)(64x - 9)
(8x + 3)(8x +3)
(8x - 3)(8x - 3)
visibility
View drawing
Question 11
11.
LEVEL 3
Write the power in standard form:
SHOW YOUR WORK
visibility
View drawing
Question 12
12.
LEVEL 3
Write the product in standard form:
SHOW YOUR WORK.
visibility
View drawing
Question 13
13.
LEVEL 3
Write the product in standard form:
(4x + 5)(4x - 5)
SHOW YOUR WORK.
visibility
View drawing
Question 14
14.
LEVEL 3
Simplify the following expression:
SHOW YOUR WORK.
visibility
View drawing
Question 15
15.
LEVEL 3
Simplify the following expression:
SHOW YOUR WORK.
visibility
View drawing
Question 16
16.
LEVEL 3
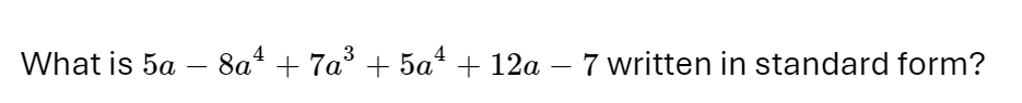
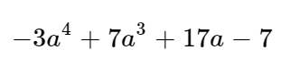
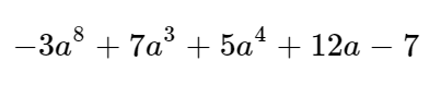
Simplify the following expression:
SHOW YOUR WORK.
visibility
View drawing
Question 17
17.
LEVEL 3
Factor the following quadratic trinomial:
SHOW YOUR WORK
visibility
View drawing
Question 18
18.
LEVEL 3
Factor the following quadratic trinomial:
SHOW YOUR WORK.
visibility
View drawing
Question 19
19.
LEVEL 3
Factor the following quadratic trinomial:
SHOW YOUR WORK.
visibility
View drawing
Question 20
20.
LEVEL 4
The side length of an isosceles right triangle is in meters.
Part A: When written in standard form, what is the leading coefficient of the triangle's area?
_______
Part B: What is the area of the triangle in square meters when x=3?
_______
SHOW YOUR WORK
visibility
View drawing
18(a + c)
6(x + 3)
(x + 8)(x - 1)
(8x - 3)(8x + 3)