Copy of ALGEBRA 1 - UNIT 6 - EXPONENTIAL FUNCTION AND MODELS - EXAM (8/9/2024)
star
star
star
star
star
Last updated over 1 year ago
13 questions
1 point
1
Question 1
1.
LEVEL 2
Which exponential function passes through the points (0,21) and (1,3)?
SHOW YOUR WORK
1 point
1
Question 2
2.
LEVEL 2
SHOW YOUR WORK
1 point
1
Question 3
3.
LEVEL 2
If g(x)=5x+23, what is the difference between g(8) and g(7)?
SHOW YOUR WORK
1 point
1
Question 4
4.
LEVEL 2
What is the difference in the value of "y" for each integer change in the "x", in the function:
y=−9x−27?
SHOW YOUR WORK.
1 point
1
Question 5
5.
LEVEL 2
Andrew began with $20 in savings and increased his savings by $10 every month. Lindsay began with $5 in savings and doubled her savings every month. After Andrew and Lindsay each saved for 7 months, who saved more money?
1 point
1
Question 6
6.
Place an X in the table to show whether each function represents exponential decay or exponential growth.
1 point
1
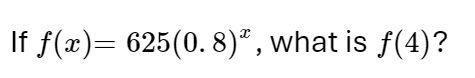
Question 7
7.
LEVEL 3
SHOW YOUR WORK.
1 point
1
Question 8
8.
LEVEL 3
Ian decided to sell pins from his collection of 400 pins. After 1 month he had 360 pins left in his collection, and after 2 months he had 324 pins left in his collection.
SHOW YOUR WORK.
1 point
1
Question 9
9.
LEVEL 3
A function passes through the points: (6,6), (7,4), and (8,3.75). What is the rate of change to the nearest hundredth?
SHOW YOUR WORK.
1 point
1
Question 10
10.
LEVEL 3
SHOW YOUR WORK
1 point
1
Question 11
11.
LEVEL 4
What exponential function passes through the points: (0,8) and (1,2)?
SHOW YOUR WORK
1 point
1
Question 12
12.
LEVEL 4
A bakery sold 60 muffins on Saturday. The following day, the number of muffins sold decreased by 10%. If this trend continues, how many muffins, to the nearest integer, could the bakery expect to sell on Wednesday?
SHOW YOUR WORK.
1 point
1
Question 13
13.
LEVEL 3
A baby weighed 112 ounces (about 3.18 kg) at birth. She gained weight at a rate of 6.5 ounces (about 184.27 g) per week. What equation can be used to represent the relationship between the baby’s weight in ounces "y" and the number of weeks "x" that have passed since her birth?