Log in
Sign up for FREE
arrow_back
Library
8/21 Quiz 1
By Deborah Johnson
star
star
star
star
star
Share
share
Last updated about 1 month ago
12 questions
Add this activity
Instructions
Required
3
Required
2
Required
4
Required
3
Required
3
Required
3
Required
3
Required
2
Required
3
Required
3
Required
3
0
This assessment should be completed during class.
For infinite solutions, put IS
For no solution, put NS
Question 1
1.
_______
Question 2
2.
_______
Question 3
3.
In the expression - 4x - 2 ......
The constant is _______
The coefficient is _______
The variable is ______
Other Answer Choices:
drag_indicator
2
drag_indicator
4
drag_indicator
x
drag_indicator
-2
drag_indicator
-4
Question 4
4.
In the problem 3(2x - 6) - 4x = 10
Before you start combining like terms, you must first...
Add 3 to each term inside parentheses, which would give you 5x - 3
Subtract 4x
Distribute the 3, which would give you 6x + 18 - 4x
Distribute the 3, which would give you 6x - 18 - 4x
Question 5
5.
x = _______
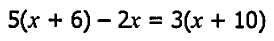
Question 6
6.
v = _______
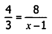
Question 7
7.
x = _______
Question 8
8.
x = _______
Question 9
9.
-6w + 24 + 8w = 2(w + 9)
w = _______
Question 10
10.
x = _______
Question 11
11.
What is the value of x if the perimeter is 48 units?
x = _______
Question 12
12.
BONUS!!! This will not hurt your grade if you get it wrong. So...why not try?
x = _______