Biology Benchmark #1 (2024-25)
star
star
star
star
star
Last updated over 1 year ago
20 questions
1
Which of the following is the best example of the human body maintaining homeostasis?
Which of the following is the best example of the human body maintaining homeostasis?
1
If a parent cell has 16 chromosomes, how many chromosomes will each of its daughter cells have after cytokinesis?
If a parent cell has 16 chromosomes, how many chromosomes will each of its daughter cells have after cytokinesis?
1
Some bacteria produce cellulase, a substance that speeds up the breakdown of cellulose in plant cell walls. Cellulase is an example of which of the following?
Some bacteria produce cellulase, a substance that speeds up the breakdown of cellulose in plant cell walls. Cellulase is an example of which of the following?

1
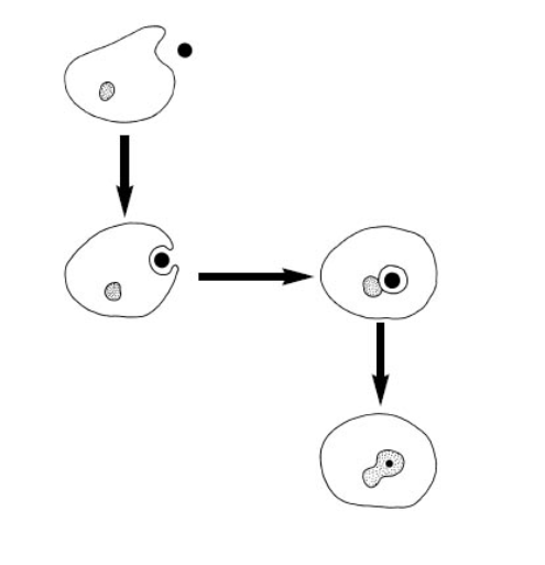
Which means of particle transport is shown in the illustration below?
Which means of particle transport is shown in the illustration below?
1
In cells, aerobic respiration (cellular respiration in the presence of oxygen) is more efficient than anaerobic respiration (cellular respiration in the absence of oxygen). This is because aerobic respiration produces more of which of the following substances?
In cells, aerobic respiration (cellular respiration in the presence of oxygen) is more efficient than anaerobic respiration (cellular respiration in the absence of oxygen). This is because aerobic respiration produces more of which of the following substances?
1
Which of the following are found in both DNA and RNA?
Which of the following are found in both DNA and RNA?
1
Which of the following statements explains why the insertion of a nucleotide in a DNA sequence could result in a phenotypic change in an organism?
Which of the following statements explains why the insertion of a nucleotide in a DNA sequence could result in a phenotypic change in an organism?
1
In the controversial scientific process of cloning, organisms are created that are genetically identical to the parent. This process would be classified as ______.
In the controversial scientific process of cloning, organisms are created that are genetically identical to the parent. This process would be classified as ______.
1
Which of the following statements best describes the genetic characteristics of human males and females?
Which of the following statements best describes the genetic characteristics of human males and females?

1
A type of golden-brown coat color in horses is called palomino. Several pairs of palomino horses are mated. The results of the crosses are shown in the table below.
A type of golden-brown coat color in horses is called palomino. Several pairs of palomino horses are mated. The results of the crosses are shown in the table below.
1
Which of the following is not a characteristic of asexual reproduction?
Which of the following is not a characteristic of asexual reproduction?

1
The evolutionary relationships among the major groups of seed plants are uncertain. The cladogram above is one possible representation of these relationships. Which of the following can be inferred from this cladogram of seed plants?
The evolutionary relationships among the major groups of seed plants are uncertain. The cladogram above is one possible representation of these relationships. Which of the following can be inferred from this cladogram of seed plants?
1
Which of the following is not a characteristic of living things?
Which of the following is not a characteristic of living things?
1
Which of the following conditions is most likely to lead to an increase in a field mouse population?
Which of the following conditions is most likely to lead to an increase in a field mouse population?

1
The diagram below shows a portion of a food web in an aquatic ecosystem. Which organism in the food web belongs to the trophic level that provides the most available energy to the ecosystem?
The diagram below shows a portion of a food web in an aquatic ecosystem. Which organism in the food web belongs to the trophic level that provides the most available energy to the ecosystem?
1
Prolonged periods of drought in an area cause decreases in plant population sizes. Which of the following statements describes how the decreases in plant population sizes then affect other populations in the area?
Prolonged periods of drought in an area cause decreases in plant population sizes. Which of the following statements describes how the decreases in plant population sizes then affect other populations in the area?
1
In 1995, 15 iguanas of the species Iguana iguana floated to the Caribbean island of Anguilla on a tree uprooted by a hurricane. No other iguanas of that species existed on Anguilla. Scientists think that the iguanas came from the island of Guadeloupe, about 120 km southeast of Anguilla. Which of the following factors has the most influence on whether the iguanas on Anguilla will become a separate species from the iguanas on Guadeloupe over time?
In 1995, 15 iguanas of the species Iguana iguana floated to the Caribbean island of Anguilla on a tree uprooted by a hurricane. No other iguanas of that species existed on Anguilla. Scientists think that the iguanas came from the island of Guadeloupe, about 120 km southeast of Anguilla. Which of the following factors has the most influence on whether the iguanas on Anguilla will become a separate species from the iguanas on Guadeloupe over time?

1
The homologous structures of a whale and frog are shown below. Which of the following statements best explains this similarity in structure?
The homologous structures of a whale and frog are shown below. Which of the following statements best explains this similarity in structure?
1
Populations of a European salamander, Proteus anguinus, live in underground caves that have a limited food supply. One of the salamander’s adaptations is the ability to significantly reduce its rate of metabolism when food is scarce. Which of the following statements best describes how the process of natural selection led to this adaptation?
Populations of a European salamander, Proteus anguinus, live in underground caves that have a limited food supply. One of the salamander’s adaptations is the ability to significantly reduce its rate of metabolism when food is scarce. Which of the following statements best describes how the process of natural selection led to this adaptation?
1
To treat malaria, doctors must know which species of Plasmodium is causing the disease. Which of the following statements best explains why doctors must identify the Plasmodium species involved before treating the disease?
To treat malaria, doctors must know which species of Plasmodium is causing the disease. Which of the following statements best explains why doctors must identify the Plasmodium species involved before treating the disease?