(5/10) Equations Review A
star
star
star
star
star
Last updated about 1 year ago
14 questions
Solving Equations
Required
1
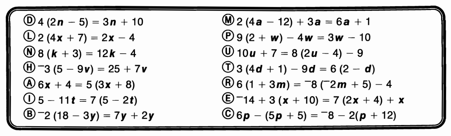
Solve the equation.
n = _______
Required
1
Solve the equation.
a = _______
Required
1
Solve the equation.
a = _______
Required
1
Solve the equation.
x = _______
Required
1
Solve the equation.
x = _______
Required
1
Solve the equation.
m = _______
Required
1
Solve the equation.
a = _______
Required
1
Solve the equation.
a = _______
Required
1
Solve the equation.
a = _______
Required
1
Solve the equation.
x = _______
Required
1
Solve the equation.
b = _______
Required
1
Solve the equation.
n = _______
What Is The Title Of This Picture?

Required
10
What Is The Title Of This Picture?
_______
Why Do Girls Like Guys Who Wear Shirts With Eight Buttons?

Required
10
Why Do Girls Like Guys Who Wear Shirts With Eight Buttons?
_______
Puzzle
