Log in
Sign up for FREE
arrow_back
Library
Sec 2H Quiz 1.1
By JENNIFER JOHNSON
star
star
star
star
star
Share
share
Last updated over 1 year ago
16 questions
Add this activity
2
3
3
3
3
4
4
5
Given the following expression.
1
Question 1
1.
The given expression is a polynomial.
True
False
1
Question 2
2.
What is the degree of the polynomial? If it is not a polynomial enter N/A
1
1
Given the following expression.
1
Question 5
5.
The given expression is a polynomial.
True
False
1
Question 6
6.
What is the degree of the polynomial? If it is not a polynomial enter N/A
1
1
Question 9
9.
Evaluate the given expression
_______
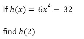
Question 10
10.
Evaluate the given function
_______
Question 11
11.
Simplify the following expression
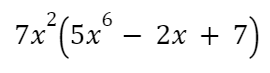
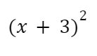
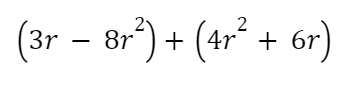
Question 12
12.
Simplify the following expression
Question 13
13.
Simplify the following expression
Question 14
14.
Determine which polynomial the question mark (?) represents
Question 15
15.
Determine which polynomial the question mark (?) represents
Question 16
16.
Did you show your work on your paper?
Yes
No
Question 3
3.
What is the name of the polynomial?
Constant Binomial
Linear Trinomial
Quadratic Binomial
Quadratic Trinomial
Linear Binomial
This is not a polynomial
Question 4
4.
What is the leading coefficient of the given polynomial? If it is not a polynomial then enter N/A
Question 7
7.
What is the name of the polynomial?
Constant Binomial
Linear Trinomial
Quadratic Binomial
Quadratic Trinomial
Linear Binomial
This is not a polynomial
Question 8
8.
What is the leading coefficient of the polynomial? If it is not a polynomial enter N/A