1-3 Piecewise Definded Functions
star
star
star
star
star
Last updated over 1 year ago
12 questions
1
Which graph represents
[Space is provided for optional work.]
Which graph represents
[Space is provided for optional work.]
10
Evaluate f(3) in the piecewise function above.
Evaluate f(3) in the piecewise function above.
10
Evaluate f(-2) in the piecewise function above.
Evaluate f(-2) in the piecewise function above.
1
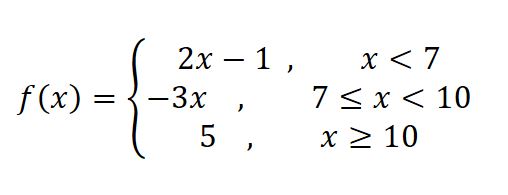
Evalutate the following for the piecewise function below.a. f(5) b. f(12) c. f(8)
Evalutate the following for the piecewise function below.
a. f(5) b. f(12) c. f(8)
1
1a)In show your work, graph the piecewise function. (the piecewise will be a picture when you click show your work)
1a)
In show your work, graph the piecewise function. (the piecewise will be a picture when you click show your work)
1
1b) Using the Piecewise graph from 1a), Is the graph from continuous at x = 4?
1b)
Using the Piecewise graph from 1a), Is the graph from continuous at x = 4?
1
1c)What is the Domain of the piecewise function from 1a?
1c)
What is the Domain of the piecewise function from 1a?
1
1d)What is the Range of the piecewise function from 1a?
1d)
What is the Range of the piecewise function from 1a?
1
1b) Using the Piecewise graph from 1a), Is the graph from continuous at x = 4?
1b)
Using the Piecewise graph from 1a), Is the graph from continuous at x = 4?
1
Which is the correct range for the graph?
Which is the correct range for the graph?
10
Evaluate f(-3) in the piecewise function above.
Evaluate f(-3) in the piecewise function above.
10
Evaluate f(-1) in the piecewise function above.
Evaluate f(-1) in the piecewise function above.


