Log in
Sign up for FREE
arrow_back
Library
8.28 // Bonus
By Inbal Adina Yoseph
star
star
star
star
star
Share
share
Last updated over 1 year ago
14 questions
Add this activity
Untitled Section
1
1
1
1
1
1
1
1
1
1
1
1
Proof of Work
1
1
Question 1
1.
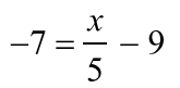
Question 2
2.
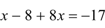
Question 3
3.
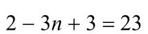
Question 4
4.
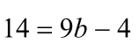
Question 5
5.
Question 6
6.
Question 7
7.
Question 8
8.
Question 9
9.
Question 10
10.
Question 11
11.
Question 12
12.
Question 13
13.
Take a picture of your work to receive credit.
visibility
View drawing
Question 14
14.
This is here in case you need to take a picture of a second page.
visibility
View drawing