Log in
Sign up for FREE
arrow_back
Library
2.0903 Assignment
By Cliff Higgins
star
star
star
star
star
Share
share
Last updated over 1 year ago
5 questions
Add this activity
1
2
3
4
5
zoom_in
Required
1
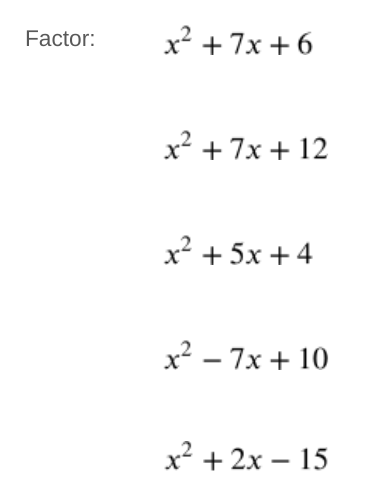
Question 1
1.
Required
1
Question 2
2.
Required
1
Required
1
Required
1
Question 3
3.
Question 4
4.
Question 5
5.