Log in
Sign up for FREE
arrow_back
Library
8.26 // Practice Quiz #1
By Inbal Adina Yoseph
star
star
star
star
star
Share
share
Last updated over 1 year ago
22 questions
Add this activity
Practice Quiz
1
1
1
1
1
1
1
1
1
1
1
1
1
1
1
1
1
1
1
1
Proof of Work
1
1
Question 1
1.
Solve.
x + 3 = -12
Question 2
2.
Solve.
-x + 3 = -12
Question 3
3.
Solve.
x - 3 = 12
Question 4
4.
Solve.
-x - 3 = 12
Question 5
5.
Solve.
2x + 1 = 23
Question 6
6.
Solve.
-4x - 3 = -27
Question 7
7.
Solve.
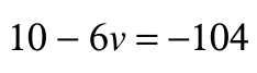
Question 8
8.
Solve.
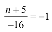
Question 9
9.
Solve.
Question 10
10.
Solve.
Question 11
11.
Solve.
Question 12
12.
Solve.
Question 13
13.
Solve.
Question 14
14.
Solve.
Question 15
15.
Solve.
Question 16
16.
Solve.
Question 17
17.
Solve.
Question 18
18.
Solve.
Question 19
19.
Solve.
Question 20
20.
Solve.
Question 21
21.
Take a picture of your work
visibility
View drawing
Question 22
22.
If you used the back side of your paper, take a picture of it here
visibility
View drawing