Log in
Sign up for FREE
arrow_back
Library
9.17 // Quiz #3 Practice
By Inbal Adina Yoseph
star
star
star
star
star
Share
share
Last updated over 1 year ago
20 questions
Add this activity
1
1
1
1
1
1
1
1
1
1
1
1
1
1
1
1
1
1
1
1
Question 1
1.
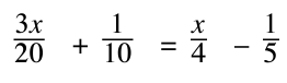
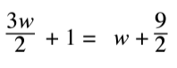
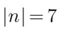
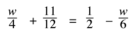
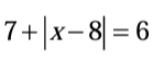
Solve.
Question 2
2.
Solve.
Question 3
3.
Solve.
Question 4
4.
Solve.
Question 5
5.
Solve.
Question 6
6.
Solve.
Question 7
7.
Solve.
Question 8
8.
Solve.
Question 9
9.
Solve.
Question 10
10.
Solve.
Question 11
11.
Solve.
Question 12
12.
Solve.
Question 13
13.
Solve.
Question 14
14.
Solve.
Question 15
15.
Solve.
Question 16
16.
Solve.
Question 17
17.
Solve.
Question 18
18.
Solve.
Question 19
19.
Solve.
Question 20
20.
Solve.