Log in
Sign up for FREE
arrow_back
Library
9.30 // Final Practice before tomorrow's Unit 1 Test
By Inbal Adina Yoseph
star
star
star
star
star
Share
share
Last updated over 1 year ago
21 questions
Add this activity
1
1
1
1
1
1
1
1
1
1
1
1
1
1
1
1
1
1
1
1
1
Question 1
1.
Solve for x: 2x + 3 = 11
Question 2
2.
Solve for x: 4x − 5 = 3x + 7
Question 3
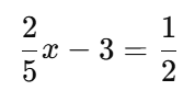
3.
Solve for x:
​
Question 4
4.
Solve for x: 5(2x − 1) = 3(3x + 4)
Question 5
5.
Solve for x: 3(x − 4) = 2(2x + 1) + 5
Question 6
6.
Solve for x:
Question 7
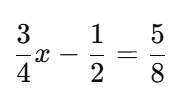
7.
Solve for x:
Question 8
8.
Solve for x:
Question 9
9.
Solve for x:
Question 10
10.
Solve for x:
Question 11
11.
Solve for x.
Question 12
12.
Find all solutions of x.
2x − 5 < 7
Question 13
13.
Find all solutions of x.
-2x − 5 < 7
Question 14
14.
Find all solutions of x.
3(x + 4) ≥ 2x + 15
Question 15
15.
Solve for x.
3(x + 1) − 2 = 4x + 1
Question 16
16.
Question 17
17.
Question 18
18.
Question 19
19.
Solve for x.
Question 20
20.
Question 21
21.
a
b
c
d
a
b
c
d