3.3 Linear Functions
star
star
star
star
star
Last updated about 1 year ago
12 questions
1
Is the function linear or non-linear?
Is the function linear or non-linear?
1
Is the function linear or non-linear?
Is the function linear or non-linear?
1
Is the function linear or non-linear?
Is the function linear or non-linear?
1
Is the function linear or non-linear?
Is the function linear or non-linear?
1
Is the function linear or non-linear?
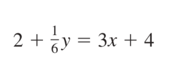
Rearrange the equation to solve for y. If it can be rewritten into y=mx+b, it is LINEAR!
Is the function linear or non-linear?
Rearrange the equation to solve for y.
If it can be rewritten into y=mx+b, it is LINEAR!
1
Is the function linear or non-linear?
Rearrange the equation to solve for y.If it can be rewritten into y=mx+b, it is LINEAR!If not, it is NON-LINEAR!
Is the function linear or non-linear?
Rearrange the equation to solve for y.
If it can be rewritten into y=mx+b, it is LINEAR!
If not, it is NON-LINEAR!
1
Is the function linear or non-linear?
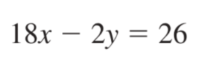
Rearrange the equation to solve for y.If it can be rewritten into y=mx+b, it is LINEAR!If not, it is NON-LINEAR!
Is the function linear or non-linear?
Rearrange the equation to solve for y.
If it can be rewritten into y=mx+b, it is LINEAR!
If not, it is NON-LINEAR!
1
Is the function linear or non-linear?
Is the function linear or non-linear?
1
Is the function linear or non-linear? y = x + 9
Is the function linear or non-linear?
y = x + 9
1
Is the function linear or non-linear?
Is the function linear or non-linear?
1
Is the function linear or non-linear?
Is the function linear or non-linear?
1
How can you tell if a function is linear or not?
How can you tell if a function is linear or not?