Log in
Sign up for FREE
arrow_back
Library
Asymptotes Checking-in
By Ellie Lee
star
star
star
star
star
Share
share
Last updated over 1 year ago
12 questions
Add this activity
1
1
1
1
1
1
1
1
1
1
1
1
Question 1
1.
What are the asymptotes?
x=-3, y=1
x=-3, y=-1
x=3, y=1
x=3, y=-1
Question 2
2.
Which asymptote(s) are determined by looking at the denominator?
horizontal
vertical
slant
none
Question 3
3.
What would the denominator look like for this graph?
x+3
x-3
x+1
x-1
Question 4
4.
Choose the correct graph that matches the equation.
A
B
C
D
Question 5
5.
Which is the graph of the rational equation:
Question 6
6.
What are the asymptotes to the function below?
No asymptotes
Question 7
7.
Which Equation Accurately Represents the End Behavior of the graph?
Question 8
8.
-2
0
Question 9
9.
What are the end behavior of
Question 10
10.
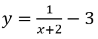
Describe the type of asymptote given by the equation
horizontal
slant
horizontal and vertical
slant and vertical
Question 11
11.
How does the degree of the numerator compare to the degree of the denominator?
The degree of the numerator is greater than the degree of the denominator.
The degree of the numerator is smaller than the degree of the denominator.
he degree of the numerator is equal to the degree of the denominator.
We cannot tell from the graph.
Question 12
12.
How does the degree of the numerator compare to the degree of the denominator?
The degree of the numerator is larger than the degree of the denominator.
The degree of the numerator is smaller than the degree of the denominator.
They are the same.
Cannot be determined from the graph.