Log in
Sign up for FREE
arrow_back
Library

Add & Subtract Mixed Numbers

star
star
star
star
star
Last updated about 1 year ago
15 questions
1
5.3.K
1
5.3.K
1
5.3.K
1
5.3.K
1
5.3.K
1
5.3.K
1
5.3.K
1
5.3.K
1
5.3.K
1
5.3.K
1
5.3.K
1
5.3.K
1
5.3.K
1
5.3.K
1
5.3.K
Question 1
1.

Solve.

53/8 – 11/4

Question 2
2.

Dr. Whether-or-Not collects two hailstones during a storm in California. One hailstone weighs 23/8 pounds and the other hailstone weighs 13/10 pounds. How much heavier is the larger hailstone than the smaller hailstone?

Question 3
3.

What mixed number represents the distance between point A and point B?

Question 4
4.

Jason is making a fruit salad. He mixes in 31/4 cups of orange melon and 22/3 cups of green melon. How many cups of melon does Jason put in the fruit salad?

Question 5
5.

Solve.

6 – 31/2

Question 6
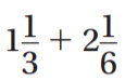
6.

Find the sum or difference. Write your answer in simplest form.

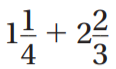
Question 7
7.

Find the sum or difference. Write your answer in simplest form.

Question 8
8.

Find the sum or difference. Write your answer in simplest form.

Question 9
9.

Find the sum or difference. Write your answer in simplest form.

Question 10
10.

Find the sum or difference. Write your answer in simplest form.

Question 11
11.

Find the sum or difference. Write your answer in simplest form.

Question 12
12.

Find the sum or difference. Write your answer in simplest form.

Question 13
13.

Find the sum or difference. Write your answer in simplest form.


Question 14
14.

Find the sum or difference. Write your answer in simplest form.

Question 15
15.

Find the sum or difference. Write your answer in simplest form.