Log in
Sign up for FREE
arrow_back
Library

Pecahan/Fractions

star
star
star
star
star
Last updated over 1 year ago
15 questions
Required
1
Required
1
Required
1
Required
1
Required
1
Required
1
Required
1
Required
1
Required
1
Required
1
Required
2
Required
2
Required
2
Required
2
Required
2
Question 1
1.

Question 2
2.

Question 3
3.

Question 4
4.

Question 5
5.

Question 6
6.

Question 7
7.

Question 8
8.

Question 9
9.

Question 10
10.

Question 11
11.

Ibu guru membawa kue ke kelas dan membaginya seperti pada gambar:

Apakah pembagian kue ini bisa disebut pecahan? Mengapa?

Question 12
12.

Apakah dua persegi ini menunjukkan pecahan senilai? Mengapa?

Question 13
13.

Urutkanlah bilangan di bawah ini dari yang terbesar hingga yang terkecil!

Question 14
14.

Elis memiliki 1/3 bagian buku cerita dari banyak buku cerita kakaknya. Jika jumlah buku cerita mereka ada 60 buku. Berapa banyak buku cerita yang dimiliki kakak Elis?

Question 15
15.

Perhatikan gambar berikut!

Untuk sebuah pesta, Ibu membuat 4 buah roti lapis dan 4 buah kue. Setiap makanan tersebut dipotong menjadi 4 bagian sama besar. Semua orang yang hadir di pesta itu mendapatkan masing-masing ¼ potong roti lapis dan ¼ potong kue. Berapa banyak orang yang ada di pesta itu jika makanan yang dibuat Ibu habis tak bersisa.

Sebuah pizza dipotong menjadi 6 bagian sama besar.
Setiap bagian dari pizza tersebut memiliki nilai……
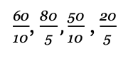
Perhatikan pola bilangan pecahan di bawah ini!

Pecahan yang hilang dari persamaan tersebut adalah…
Bu Ani membuat brownies untuk pesta ulang tahun Lala. Brownies tersebut dipotong menjadi 6 bagian sama besar. Bu Ani berencana untuk memberikan 1/3 bagian untuk Lala dan teman-temannya saat di pesta ulang tahun. Gambar yang menunjukkan bagian brownies yang tepat untuk dimakan di pesta adalah…
Sebuah lilin panjang memiliki 3 warna berurutan dari atas yang sama panjang: merah, putih, biru. Setelah dinyalakan selama 30 menit, lilin tersebut meleleh hingga hanya tersisa 1/3 bagian. Warna lilin yang akan tersisa adalah…
Merah
Hijau
Biru
Putih
Ibu Risa suka sekali membuat pizza. Suatu hari, saat teman-teman Risa berkunjung ke rumah Risa, Ibunya membuatkan pizza. Manakah di antara gambar di bawah ini yang sesuai untuk menyatakan bahwa Risa mengambil ¼ bagian pizza?
Adit dan Rani menggabungkan uang mereka untuk membeli buah-buahan. Uang Adit 2/6 bagian dari jumlah uang mereka. Jumlah uang mereka adalah Rp 90.000,00. Berapakah uang Rani?
Rp 30.000, 00
Rp 45.000,00
Rp 60.000,00
Rp 120.000,00
Andi mendapat kue 2/6 bagian dan Susi mendapat 4/8 bagian dari kue yang sama.
Pernyataan berikut yang benar adalah ….
Andi mendapat kue lebih banyak
Susi mendapatkan kue lebih banyak
Andi dan Susi mendapatkan bagian yang sama
Semua pernyataan salah
Jika satu menara disusun dari 4 buah bata, maka banyak menara yang bisa dibuat dari 14 bata adalah...
Bu Ratih membeli 2 1/2 kg beras, 2 1/4 kg telur, dan 0,75 kg tepung terigu. Jumlah belanja Bu ratih seluruhnya adalah…
Perhatikan gambar di bawah ini!

Panjang belalang dalam bentuk pecahan campuran adalah …….cm