Log in
Sign up for FREE
arrow_back
Library
Grade 8 Math Angle Relationships Quiz
By Meghan Rhymes
star
star
star
star
star
Share
share
Last updated over 1 year ago
17 questions
Add this activity
1
1
2
2
8.5
1
8.5
1
1
1
1
1
1
1
2
3.5
2
0
0
Question 1
1.
What is the sum of two
supplementary
angles?
Question 2
2.
Question 3
3.
Looking at the angle relationship above, what is the value of x?
visibility
View drawing
Question 4
4.
Angle 1 and angle __________are vertical angles.
Angle 2 and angle __________are vertical angles.
Question 5
5.
Angle 3 and angle 5 are
Vertical angles
Suplementary Angles
Corresponding Angles
Adjacent angles
Question 6
6.
m < 2 = ?
Question 7
7.
Classify the type of angles shown below.
Supplementary
Vertical
Corresponding
Alternate Interior
Question 8
8.
If the measure of angle 2 is 48 degrees, what is the measure of angle 4?
visibility
View drawing
Question 9
9.
Which angle is NOT congruent to Angle 1?
Given that lines
p
and
z
are parallel cut by transversal line
a
.
Which angle is NOT congruent to Angle 1?
Angle 3
Angle 4
Question 10
10.
If the measure of angle 3 is 130 degrees, what is the measure of angle 7?
visibility
View drawing
Question 11
11.
If angle 5 is 120 degrees, what is the measure of angle 6?
visibility
View drawing
Question 12
12.
What is the name of the relationship between angle 5 and angle 7?
alternate interior angles
corresponding angles
vertical angles
supplementary angles
Question 13
13.
Select
all
the pairs the represent
alternate interior angles
.
Angle 4 & Angle 7
Angle 1 & Angle 6
visibility
View drawing
Question 14
14.
Use the diagram to answer the question.
If the measure of Angle 1 is 98 degrees, find the measures of the other missing angles.
Angle 2: _______
Angle 3: _______
Angle 4: _______
Angle 5: _______
Angle 6: _______
Angle 7: _______
Angle 8: _______
visibility
View drawing
Question 15
15.
Select
all
the pairs that represent
corresponding
angles.
Angle 3 & Angle 6
Angle 1 & Angle 8
visibility
View drawing
Question 16
16.
EXTRA CREDIT
What value of x guarantee that the lines
m
and
n
are parallel?
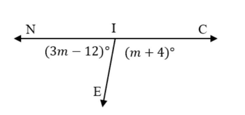
Question 17
17.
EXTRA CREDIT
Find the value of m.
visibility
View drawing
Angle 6
Angle7
Angle 3 & Angles 8
Angle 4 & Angle 5
Angle 4 & Angle 8
Angle 2 & Angle 6