Log in
Sign up for FREE
arrow_back
Library

Unit 5b Gas Laws

star
star
star
star
star
Last updated over 1 year ago
73 questions
Note from the author:
Day 1 - Conceptual Variables of Gass Properties
1
1
1
1
Day 2 - Quantitative Gas Laws
1
1
1
1
1
1
1
1
1
1
Day 3 - Gas Law Demo Stations
Self passed mini-gas law unit
This is a self-paced lesson that consists of three days of content, a review day, and a quiz.

Introduction


Scenario 1: Imagine you are at a birthday party and watching helium balloons float near the ceiling. Suddenly, someone accidentally places one of the balloons near the bright lamp. A few minutes later, you notice the balloon looks bigger.

Question 1: What do you think caused the balloon to enlarge?

---------------------------------------------------------------
Scenario 2:
A parent takes the balloon outside for a picture. It is colder outside.

Question 2:
What do you think happens to the balloon? Why?
1
1

ENGAGE

Take notes on the key points of the KMT Theory below and answer the corresponding questions.

Step 1:
Two Choices: Watch the video below or read the information to take notes.

Step 2:
Answer the corresponding questions about KMT to check your understanding.

Kinetic Molecular Theory

The Kinetic Molecular Theory (KMT) explains the behavior of gas particles by describing their motion and interactions. Thus, we can understand and predict how gases behave in different situations.

Why do we use the KMT?
KMT gives us a simple way to understand complex behaviors, helping scientists, engineers, and even students solve real-world problems involving gases, like designing airbags or predicting weather patterns.

How do we use the KMT?
The Kinetic Molecular Theory (KMT) helps us understand and predict how gases behave in different situations by explaining important concepts like:
  1. Pressure: Why gases exert force on the walls of a container.
  2. Temperature: How heat makes particles move faster.
  3. Volume: Why gases expand or compress based on their container.
  4. Gas Laws: Relationships between pressure, temperature, and volume, like in balloons or weather changes.
According to KMT, gas particles are in constant, random motion and collide elastically with each other and the walls of their container. Elastic collisions do not lose or gain energy; they are conserved when particles collide with one another or the container's wall. These particles have no attraction or repulsion to one another and no volume.
​
The temperature of a gas is directly related to the average kinetic energy of its particles. When the temperature increases, particles move faster, leading to more frequent and forceful collisions, which increases pressure if the volume is constant. Similarly, decreasing temperature slows down particles, causing them to occupy less space. These principles help us understand gas behaviors under different conditions, such as heating, cooling, or compression.

Summary

The Key Points of KMT
  1. The volume of individual particles is approximately zero​
  2. Particles exert no attractive forces on each other ​
  3. Particles are in constant random motion
  4. Particles are perfectly elastic; kinetic energy is conserved ​
  5. Average kinetic energy is proportional to the Kelvin temperature of a gas ​
The Key Points of KMT Explained
  • Gas particles are super tiny, and their size doesn’t matter much. Imagine each gas particle is so tiny that, compared to the space around them, their size is almost like a speck of dust in a huge gym. The amount of space they take up doesn’t affect how gases behave.
  • Gas particles don’t “stick” to each other. Unlike magnets or Velcro, gas particles don’t pull toward each other or push away. They move around freely without attracting or repelling one another.
  • Gas particles are always moving in all directions. Gas particles never stop moving! They zip around randomly, like people running in all different directions in a crowded park.
  • Gas particles bounce off each other without losing energy. When they bump into each other or the walls of their container, they bounce back perfectly, like super bouncy balls. They don’t slow down because they don’t lose energy when colliding.
  • The hotter the gas, the faster the particles move. The temperature of a gas is like a speed dial for particles. If it’s cold, they move slowly. If it’s hot, they zoom around faster. Scientists measure this using a temperature scale called Kelvin.
1
1
1
1
1
1
1
1
1
1
1
1
1
1
1
1
1
EXPLORE

Four gas variables—volume, temperature, pressure, and particle size — describe gases' behavior.

These four variables are in a delicate balance, and if one of them changes, one or more may change to relieve the stress on the gas system.

This activity is designed to determine what happens when changing three of the four variables. We will keep two variables constant in each experiment: 1) the number of particles constant and 2) either volume, pressure, or temperature will be held constant.
1
Question 20
20.

1
1
1
1
Question 25
25.
Experiment 1: According to the Kinetic Molecular Theory, when the temperature decreased, the pressure went _______ .
Question 26
26.
Experiment 2: According to the Kinetic Molecular Theory, when the volume went down, the pressure went _______ .
Question 27
27.
Experiment 3: According to the Kinetic Molecular Theory, the temperature increased resulted in the volume going_______ .
Question 28
28.
Experiment 4: According to the Kinetic Molecular Theory, when more particles were added, the pressure went _______.
1
Question 29
29.

Match the variable to its unit.

Draggable itemarrow_right_altCorresponding Item
Temperature
arrow_right_alt
atm
Volume
arrow_right_alt
arrow_right_alt
1

Converting Between Kelvin and Celcius

  1. Start with the Celsius Temperature. Write down the temperature in Celsius. Example: 25∘C.
  2. Add 273.15 to the Celsius value. Formula: K =∘Celsius+273.15.
  3. Calculate the Result. Perform the addition. Add K as your units. Example: K = 25 + 273.15 = 298.15 K *Round to 2 decimals
Quick Tip:
  • The Kelvin scale does not use the degree symbol (°), so always write it as K.
1
Question 31
31.

The temperature of a container of gas is 310K. Convert this temperature to degrees Celsius.

1
Question 32
32.

1
1
1
1
1
1
1
1
1
1
1
1
1
1
1
1
Question 49
49.

What is the formula for the ideal gas law?

Question 50
50.

In the ideal gas law if the pressure increases, what will happen to the volume assuming n and T are constant?

Question 51
51.

What does the variable 'n' stand for in the ideal gas law?

Question 52
52.

Using the Ideal Gas Law, if P=2 atm, V=3 L, n=2 mol, and R=0.0821, what is T?

Question 53
53.

According to the Ideal Gas Law, if P=1 atm, V=22.4 L, R=0.0821, and T=273 K, calculate n?

Question 54
54.

Careful, ideal or combined gas law? Calculate the volume of a gas initially at 2.0 atm, 4.0 L, 300 K if it changes to 600 K, 1.0 atm.

Question 55
55.

If a gas sample has a volume of 500 mL at STP, what is the volume of the gas at 600 K and 3 atm pressure? (Note: STP conditions are 0°C, 1 atm and 22.4 L/mol.)

Question 56
56.

A gas has a pressure of 3 atm, a volume of 2 L and a temperature of 270 K. If the volume is changed to 3 L, while the temperature is kept constant, what's the new pressure?

Question 57
57.

A gas is initially at 2 atm pressure, with a volume of 3L at 290K. If the pressure is increased to 4 atm and the temperature to 310K, what is the new volume?

Question 58
58.

A gas with an initial volume of 15 L, a pressure of 1.2 atm and a temperature of 20°C is heated and compressed until its final conditions are 40°C and 2.4 atm. What is the final volume of the gas?

Balloon in a Bottle

Materials: Plastic bottle, balloon, and a straw.

Procedure:
  • Place a deflated balloon inside a bottle with the balloon's neck over the opening.
  • Blow air into the balloon and watch how difficult it becomes to inflate it due to the pressure inside the bottle.
  • Use a straw to release air and observe how the balloon inflates more easily.
Explanation: Reducing pressure inside the bottle makes it easier for the balloon to expand.
1
Question 59
59.
This demonstrates that pressure and volume are __________related.

This means when pressure was high inside the bottle, the volume of the balloon was __________
1

Shrinking Balloon

  • Materials: Balloon, hot water, and ice water.
Procedure:
  • Inflate a balloon and place it in hot water.
  • The balloon will expand.
  • Transfer it to ice water.
  • The balloon will shrink.
Explanation: Increasing temperature makes gas particles move faster, expanding the balloon. Lowering temperature slows particles down, reducing volume.
1
Question 61
61.
This demonstrates that temperature and volume are __________related.

This means when the temperature was decreased inside the balloon, the volume of the balloon was __________
1

Candle and Flask

Materials: Beaker, candle, water, and a plate.

Procedure:
  • Light a small candle on a plate with a shallow layer of water.
  • Cover the candle with a flask.
  • As the flame goes out, water rises into the flask.
Explanation: The flame heats the air, expanding it. When the flame goes out, the air cools, reducing pressure inside the flask and drawing water in.
1
Question 63
63.
This demonstrates that temperature and pressure are __________related.

This means when the temperature was decreased inside the beaker, the volume of the air was __________
1

Collapsing Can (Combined Gas Law)

Concept: Pressure, volume, and temperature relationships.

Materials: Aluminum soda can, water, and a stove or Bunsen burner.

Procedure:
  • Add a small amount of water to a soda can and heat it until steam forms.
  • Quickly invert the can into a bowl of cold water.
  • The can will collapse with a loud pop.
Explanation: Rapid cooling creates a vacuum inside the can as the steam condenses, decreasing pressure and causing the can to collapse.
1
1
1
Question 67
67.

Considering the two beakers, which one would contain particles moving faster?

1
1
1
Question 70
70.

The container on the left has a higher temperature because the particles are movign slower.

1
1
1
Question 73
73.

Notice the number of particles and the temperatures are the same (see arrows indicating speed is equal). Which flask has the higher pressure?

Question 1
1.

Consider Scenario 1.
What do you think caused the balloon to enlarge?

Question 2
2.

Consider Scenario 2.

What do you think happens to the balloon? Why?

Question 3
3.

According to the Kinetic Molecular Theory, gas particles are attracted to each other.

Question 4
4.

The Kinetic Molecular Theory helps explain why gas particles move faster at higher temperatures.

Question 5
5.

The volume of individual gas particles contributes significantly to the overall volume of the gas.

Question 6
6.

In the Kinetic Molecular Theory, kinetic energy is not conserved in elastic collisions.

Equilibrium


The last piece of equilibrium that we need to add involves gases in a chemical reaction.

But first, let's review...

What is Equilibrium?
We already know that equilibrium shifts in chemistry refer to how a chemical reaction adjusts when disturbed, based on Le Chatelier's Principle.

A chemical reaction system is at equilibrium when the rates of the forward and reverse reactions are equal. This means:
  1. There has been no net change in concentrations. The amounts of reactants and products remain constant over time, even though both reactions are still occurring.
  2. Dynamic balance: The system is not static; molecules continually react, but their overall quantities stay stable.
  3. Depends on conditions: The equilibrium point depends on temperature, pressure, and concentrations.
At equilibrium, the system has reached a state of balance where it minimizes energy and maximizes stability under the given conditions.

How does the system change?
If a system at equilibrium experiences a change in concentration, temperature, or pressure, it will shift to counteract the change and restore balance.
  • Concentration: Adding more of a reactant or product requires the system to use it to remove the cause of the change.
  • Exceptions: solids and liquids do not affect equilibrium shifts because their concentrations cannot change during a reaction.
  • Temperature: Increasing the heat causes the reaction to shift away while decreasing temperature causes the shift towards the side with heat.
  • For exothermic reactions (heat is a product), increasing temperature shifts equilibrium toward reactants; endothermic reactions shift toward products.
Question 7
7.

Imagine a playground seesaw with two kids on either side. The seesaw stays balanced in the middle when both kids weigh the same. Even if the kids wiggle a little, the seesaw adjusts and stays level.
In a chemical reaction at equilibrium:
  • The two kids represent the reactants and products.
  • The seesaw represents the balance between the forward and reverse reactions.
  • If one kid (reactants or products) gets heavier (a change happens, like adding more), the seesaw tilts, and the other side adjusts to balance it again.
This shows how equilibrium is like a constantly adjusting balance that keeps things stable!

But this analogy has a BIG flaw! What is not represented in this analogy?

Question 8
8.

Question 9
9.

Which term refers to the point where the rates of the forward and reverse reactions are equal?

Question 10
10.

What happens if a system at equilibrium experiences a change in concentration?

Question 11
11.

Why do solids and liquids not affect equilibrium shifts?

What's new?

  • Pressure: Increasing pressure favors the side with fewer gas molecules; decreasing pressure favors the side with more gas molecules.
Only gases are affected when pressure changes. To predict how the reaction shifts:
  1. Count the number of gas molecules (coefficients) on both reaction sides.
  2. If the pressure increases, the reaction shifts to the side with fewer gas molecules to reduce the pressure.
  3. If the pressure decreases, The reaction shifts to the side, with more gas molecules taking up more space.
This happens because higher pressure pushes molecules closer together, favoring fewer moles. Lower pressure allows them to spread out, favoring more moles.
Question 12
12.

Which factors does the equilibrium point depend on?

Question 13
13.

Consider this reaction:
N2​(g)+3H2​(g)↔2NH3​(g) (ΔH = -92 J/g)

What type of reaction is this and which side is heat on in the chemical reaction?

Question 14
14.

Consider the same reaction:
N2​(g)+3H2​(g)↔2NH3​(g) (ΔH = -92 J/g)

If the temperature is increased, how does the chemical equilibrium shift?

Question 15
15.

Consider the same reaction:
N2​(g)+3H2​(g)↔2NH3​(g) (ΔH = -92 J/g)

If the heat energy decreases, how does the concentration of hydrogen gas change?

Question 16
16.

Consider the same reaction:
N2​(g)+3H2​(g)↔2NH3​(g) (ΔH = -92 J/g)

If the pressure decreases, which way does the reaction shift?

Question 17
17.

Consider the same reaction:
N2​(g)+3H2​(g)↔2NH3​(g) (ΔH = -92 J/g)

If the pressure decreases, what happens to the concentration of nitrogen gas?

Question 18
18.

Consider this reaction:
2 H2​(g)+ O2​(g)↔ 2 H2O(l) (ΔH = -182 J/g)

If the pressure increases, what happens to equilibrium?

Question 19
19.

Consider this reaction:
Fe(s)+CuSO4​(aq)↔FeSO4​(aq)+Cu(s)

If the pressure increases, what happens to equilibrium?

Choose "Ideal" and explore the functions of this pHet.

If you prefer to open the pHet in a separate window, click here.

What happens when you pump the gray lever up and down?

particles are added
particles are removed
Question 21
21.

Question 22
22.

Question 23
23.

Question 24
24.

Click the reset button.

Experiment 4 - Increasing the Amount of Particles

Leave the setup as you have it, and add a few pumps of particles.

What happens to the pressure? Explain what you observed in terms of Kinetic Molecular Theory.

Solving Gas Law Problems Using the Combined Gas Law

Learning Objective: By the end of this lesson, students will be able to solve gas law problems using the Combined Gas Law and the Ideal Gas Law.

Step 1: Understand the Combined Gas Law

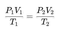
  • The Combined Gas Law relates pressure (P), volume (V), and temperature (T).
The formula is:
P1 = initial pressure
V1 = initial volume
T1 = initial temperature
P2 = initial pressure
V2 = initial volume
T2 = initial temperature
Key Rules:
  • Always convert temperature to Kelvin using K=°C+273K
  • Units for pressure and volume can vary, but you must use the same unit on both sides (e.g., atm for pressure and L for volume).
  • You can leave a variable out of the equation if a variable is constant (same initial and final).
K
Pressure
L
Question 30
30.

You must always convert temperature to Kelvin when using the Combined Gas Law.

What is the initial temperature in Kelvin given that it was measured as 30°C?
Question 33
33.

Given that a gas is cooled from 127°C to 32°C, calculate the final temperature in Kelvin.

Question 34
34.

A gas is cooled to 0K. What is this temperature in degrees Celsius?

Math Application of Combined Gas Law

Key Rules:
  • Always convert temperature to Kelvin using K=°C+273.
  • Units for pressure and volume must be consistent (e.g., atm for pressure and L for volume).
The formula is:
P1 = initial pressure
V1 = initial volume
T1 = initial temperature
P2 = initial pressure
V2 = initial volume
T2 = initial temperature

Step 1: Read the problem and determine the variable's known and unknown.

Determine the variables' givens and unknowns (initial and final pressure, volume, and temperature) from the problem.
  • Write down the values for the givens (knowns).
  • Determine which variable is missing (unknown).

Step 2: Determine the equation you will use based on your knowns and unknowns.

  • Write the equation.
  • If you are not given information on a variable (initial and final), assume it is 1.
  • You can omit that variable from your equation or write a 1.

Step 3: Check that all your units are the same and that you have a temperature in Kelvin.

  • K = °C + 273.15

Step 4: Substitute and solve for the unknown.

  • Plug the given values into the formula.
  • Use algebra to solve for the unknown variable.
  • Use a calculator to compute the answer step-by-step (or use the crisscross method)
  1. Multiply across the numerator
  2. Multiply the denominator
  3. Divide the numerator by the denominator.

Step 5: Write your final answer with units.
  • Round to two decimals and add your units.

Step 6: Check Your Work

  • Ensure all units are correct.
  • Verify that your final answer makes sense based on the relationship (e.g., if volume decreases, pressure should increase).
Question 35
35.

Draggable itemarrow_right_altCorresponding Item
Final Pressure
arrow_right_alt
arrow_right_alt
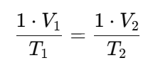
arrow_right_alt
arrow_right_alt
arrow_right_alt
arrow_right_alt
Question 36
36.

The problem does not mention pressure, therefore, we can assume it is constant or "one."

Here is the Combined Gas Law with a constant pressure. Notice the "ones."

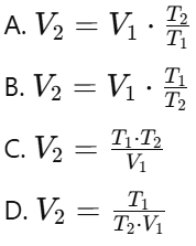
Which of the following correctly plugs in and rearranges the formulas to find the new volume.

Question 37
37.

Convert both T1 and T2 from Celcius to Kelvin.

T1​=35∘C T2=95∘C

Question 38
38.

Plug in the knowns and solve for the new volume.

Question 39
39.

What is the final volume if the initial volume is 3L, the initial pressure is 2.5 atm, the final pressure is 1.5 atm, and the temperatures remain constant?

Question 40
40.

What's the final temperature if the initial pressure is 1 atm, the final pressure is 2 atm, the initial volume is 2L, the final volume is 1L, and the initial temperature is 273 K?

Question 41
41.

What is the initial volume if the final volume is 5L, the initial pressure is 2 atm, the final pressure is 1 atm, and the temperatures are constant?

Question 42
42.

If a gas has an initial volume of 2 L, initial pressure of 3 atm, and final temperature of 400 K. Given that the final pressure is 2 atm, what is the final volume of the gas in liters, given that the initial temperature was 17°C?

Question 43
43.

A 500 mL gas at 25°C is heated to 75°C while the pressure remains constant. What is the final volume?

Question 44
44.

You have 20 L of gas at a pressure of 1 atm. If the volume decreases to 10 L, what would be the new pressure?

Question 45
45.

A gas has an initial pressure of 1 atm, initial volume of 5L, and initial temperature of 300K. If the volume decreases to 2.5L and the temperature stays the same, what is the final pressure using Boyle's Law?

Question 46
46.

The initial volume of a gas is 1L at 273K temperature. If the volume increases to 2L, what is the new temperature using Charles' Law?

Question 47
47.

A gas initially at a pressure of 2 atm and temperature of 400 K is later found to be at a temperature of 200 K. What is the final pressure?

Question 48
48.

A gas has initial conditions of 1 atm, 2L, and 300 K. If the final conditions are 2 atm and 4L, find the final temperature using the combined gas law.

Question 60
60.

Which graph best represents pressure and volume?

Question 62
62.

Which graph best represents pressure and volume?

Question 64
64.

Which graph best represents pressure and volume?

Question 65
65.

What caused the soda can to collapse during the Collapsing Can demonstration?

Question 66
66.

Why does the can's steam condense when placed in cold water?

Question 68
68.

Considering the two beakers, which one would have the higher preasure?

Question 69
69.

The volume should be increasing, but the box is the same size, and particles have disappeared.

Question 71
71.

The pressure is higher in the right beaker because the particles are moving faster.

Question 72
72.

The particles with higher temperatures are slower, therefore the beaker on right has less kinetic energy.

Larger flask, the particles collide less.
Small flask, the particles collide more.
Small flask, the particles collide less.
It doesn’t account for the effect of external changes on the system.
It shows that the amounts of reactants and products are always equal at equilibrium.
It suggests that the forward and reverse reactions happen at different rates.
It implies that the balance at equilibrium is static, not dynamic.
Imagine a hallway with students moving between two classrooms: Mrs. Scroggs’ and Mrs. Day’s.

About 4 students move from Mrs. Scroggs’ room to Mrs. Day’s at a time, while 2 students move back from Mrs. Day’s to Mrs. Scroggs’.

Over time, the number of students in each classroom stabilizes because the rates of movement are consistent:

  • 40 students stay in Mrs. Scroggs’ room.
  • 20 students stay in Mrs. Day’s room.
This balance doesn’t mean the numbers are equal, but the system is stable because the rate of exchange (4:2) remains constant.

Equilibrium occurs when the number of students in each room stays steady, even though students constantly move back and forth.

Question:
Oh no! Mrs. Day has two new students added. How does the system adjust to restore balance?
endothermic, reactants
The equilibrium does not shift.
The reaction stops entirely.
The equilibrium does not shift.
The reaction stops entirely.
Click the reset button.

Experiment 1- Constant Volume

Set Up the Experiment:
  1. Add one pump of gas particles into the chamber (as shown in step 7 of the simulation).
  2. Choose the "hold volume constant" option on the right side of the simulator.

Initial Observations:

3. Record the initial temperature (in Kelvin, K) and pressure (in atm) from the simulator.

4. Add Heat: Use the slider at the bottom to increase the temperature until it doubles the initial value (e.g., if the initial temperature is 300 K, increase it to 600 K). It might take a few tries to get it just right.
Take note of the new pressure in the chamber.
Did the pressure go up or go down? What is the new pressure in the chamber? Explain what you observed in terms of Kinetic Molecular Theory.
Click the reset button.

Experiment 2- Constant Temperature

Set Up the Experiment:
  1. Add one pump of gas particles into the chamber (as shown in step 7 of the simulation).
  2. Choose the "hold temperature constant" option on the right side of the simulator.

Initial Observations:

3. Record the initial pressure (in atm) and describe the volume (the size of the box container) from the simulator.

4. Locate the handle on the left of the chamber and slide it to the right as far as possible. The box is smaller, and this is the smallest volume. What happens to pressure?

If you slide the handle to the left, the volume increases. What happens to pressure?

Did the pressure go up or go down? What is the new pressure in the chamber? Explain what you observed in terms of Kinetic Molecular Theory.
Click the reset button.

Experiment 3- Constant Pressure

Set Up the Experiment:
  1. Add one pump of gas particles into the chamber (as shown in step 7 of the simulation).
  2. Choose the "hold pressure constant" option on the right side of the simulator.

Initial Observations:

3. Record the initial temperature (in Kelvin, K) and describe the volume (the size of the box container) from the simulator.

4. Locate the heat and cold slider at the bottom.

Increase the temperature; what happens to volume?

Decrease the temperature; what happens to volume?

Did the volume go up or go down? What is the new volume in the chamber? Explain what you observed in terms of Kinetic Molecular Theory.
The pressure decreases due to less collisions of the particles.
The pressure increases due to less collisions of the particles.
The pressure decreases due to more collisions of the particles.
Let's walk through a combined gas law math problem together.

If a container's initial volume was 5.23 L, what was its new volume when the temperature increased from 35°C to 95°C?

Based on the problem above, match the variables to the correct value.
held constant (initial)
Initial Temperature
35°C
Initial Pressure
5.23 L
Final Temperature
held constant (final)
Final Volume
95°C
Initial Volume
unknown (solving for this)
C
D