ISD Grade 8 Science Midterm - 2024 (12/18/2024)
star
star
star
star
star
Last updated 6 months ago
44 questions
Please read the questions carefully. Take your time. When you have questions, please let me know. You will have 65 minutes to work on this. Good luck. You got this!
0
I (type your name) _______ acknowledge that I have read the "Academic Honesty Statement" above on this date (enter date) _______ .
1
A vector describes a quantity's ________ and ________.
A vector describes a quantity's ________ and ________.
1
An object with balanced forces acting on it would ________.
An object with balanced forces acting on it would ________.
1
A ______ is a place or object to which you compare to in order to determine motion.
A ______ is a place or object to which you compare to in order to determine motion.
1
_____ is a change in position over time.
_____ is a change in position over time.
1
Displacement is the total distance traveled during an event. (Explain if false, or rewrite the statement to make it true. Use the "Show your work" feature.)
Displacement is the total distance traveled during an event. (Explain if false, or rewrite the statement to make it true. Use the "Show your work" feature.)
3
A force is defined as a _______ or a _______. As vectors, all forces have both _______ and _______. Force is measured with a scientific unit called _______ .
1
Applied force and spring force are both examples of noncontact forces. (Explain if false, or rewrite the statement to make it true. Use the "Show your work" feature.)
Applied force and spring force are both examples of noncontact forces. (Explain if false, or rewrite the statement to make it true. Use the "Show your work" feature.)
1
If the above vector diagram (from PhET, drip) represented someone's traveled path as shown by vectors a, b, and c, what distance did this person travel (in meters)?
If the above vector diagram (from PhET, drip) represented someone's traveled path as shown by vectors a, b, and c, what distance did this person travel (in meters)?
1
If the above vector diagram (from PhET, drip) represented someone's traveled path as shown by vectors a, b, and c, what was that person's total displacement (in meters)?
If the above vector diagram (from PhET, drip) represented someone's traveled path as shown by vectors a, b, and c, what was that person's total displacement (in meters)?
1
Which of the above vector diagrams would best represent an airplane traveling into the wind (headwind)?
Which of the above vector diagrams would best represent an airplane traveling into the wind (headwind)?
1
If the net force on an object is 0 Newtons, then the forces acting on this object are _________.
If the net force on an object is 0 Newtons, then the forces acting on this object are _________.
1
On time/distance graphs, the x-axis should always represent time. (Explain if false, or rewrite the statement to make it true. Use the "Show your work" feature.)
On time/distance graphs, the x-axis should always represent time. (Explain if false, or rewrite the statement to make it true. Use the "Show your work" feature.)
1
On a time/distance graph, the y-axis represents the reference point. (Explain if false, or rewrite the statement to make it true. Use the "Show your work" feature.)
On a time/distance graph, the y-axis represents the reference point. (Explain if false, or rewrite the statement to make it true. Use the "Show your work" feature.)
1
Of the three graphs above, which one represents an object moving at an uniform (constant) speed? NOTE: position is the same as distance
Of the three graphs above, which one represents an object moving at an uniform (constant) speed? NOTE: position is the same as distance
1
Of the three graphs above, which one represents an object not moving? NOTE: position is the same as distance
Of the three graphs above, which one represents an object not moving? NOTE: position is the same as distance
1
Of the three graphs above, which one shows acceleration happening? NOTE: position is the same as distance
Of the three graphs above, which one shows acceleration happening? NOTE: position is the same as distance
1
Based on the graph above, of the three objects moving, which one is moving the slowest?
Based on the graph above, of the three objects moving, which one is moving the slowest?
1
On a time/distance graph, the slope represents ________.
On a time/distance graph, the slope represents ________.
1
The above graph shows Mr. Siegel traveling from school to the PhET merch store. During what time listed was Mr. Siegel most likely on a break during this trip?
The above graph shows Mr. Siegel traveling from school to the PhET merch store. During what time listed was Mr. Siegel most likely on a break during this trip?
1
The above graph shows Mr. Siegel traveling from school to the PhET merch store. Based on the graph, how far is the PhET merch store from school?
The above graph shows Mr. Siegel traveling from school to the PhET merch store. Based on the graph, how far is the PhET merch store from school?
1
Based on the graph above, what was the total distance traveled?
Based on the graph above, what was the total distance traveled?
1
Which story best represents the graph above?
Which story best represents the graph above?
1
______ is how fast something is traveling in a specific direction.
______ is how fast something is traveling in a specific direction.
1
To find the numerical value that represents the velocity of an object, you must ________.
To find the numerical value that represents the velocity of an object, you must ________.
2
A _______ is a quantity that has both size and direction. _______ is a vector quantity because it has speed in a specific direction. Average speed depends on the total _______ traveled along a path. Average velocity depends on the _______ of an object.
1
Based on the above velocity/time graph, which object is at rest?
Based on the above velocity/time graph, which object is at rest?
1
Based on the above velocity/time graph, which object is moving at a constant velocity?
Based on the above velocity/time graph, which object is moving at a constant velocity?
1
Based on the above velocity/time graph, object 1 is moving with the most acceleration. (Explain if false, or rewrite the statement to make it true. Use the "Show your work" feature.)
Based on the above velocity/time graph, object 1 is moving with the most acceleration. (Explain if false, or rewrite the statement to make it true. Use the "Show your work" feature.)
1
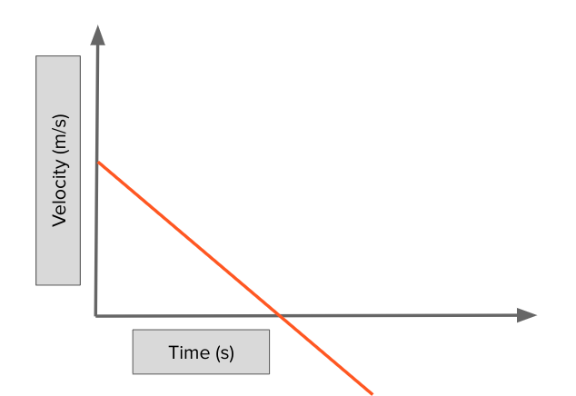
On a velocity/time graph, a line with a downward slope (a line going down) means ___________.
On a velocity/time graph, a line with a downward slope (a line going down) means ___________.
4
Match the distance/time graph with the correct velocity/time graph:
Match the distance/time graph with the correct velocity/time graph:
| Draggable item | arrow_right_alt | Corresponding Item |
|---|---|---|
| arrow_right_alt | ||
| arrow_right_alt | ||
| arrow_right_alt | ||
| arrow_right_alt |
4
Match the short story (or event) with the correct velocity/time graph:
Match the short story (or event) with the correct velocity/time graph:
| Draggable item | arrow_right_alt | Corresponding Item |
|---|---|---|
An object is accelerating at a constant rate. | arrow_right_alt | |
An object is accelerating, then maintaining a constant velocity, and then slowing down or decelerating. | arrow_right_alt | |
An object is traveling at a constant velocity. | arrow_right_alt | |
An object is slowing down, or decelerating, but not at a constant rate. | arrow_right_alt |
1
Which of the following would be a correct unit for acceleration?
Which of the following would be a correct unit for acceleration?
2
_______ is the change in position/distance over time in a certain direction. _______ is the change in velocity over time.
1
An object moving with a constant acceleration is not increasing or decreasing its speed/velocity. (Explain if false, or rewrite the statement to make it true. Use the "Show your work" feature.)
An object moving with a constant acceleration is not increasing or decreasing its speed/velocity. (Explain if false, or rewrite the statement to make it true. Use the "Show your work" feature.)
1
Acceleration can best be described as a change in ________________.
Acceleration can best be described as a change in ________________.
1
Which scenario does NOT describe an example of acceleration?
Which scenario does NOT describe an example of acceleration?
3
The slope on a distance/time graphs tell us the_______ . The slope on a velocity/time graph tells us the _______ .
1
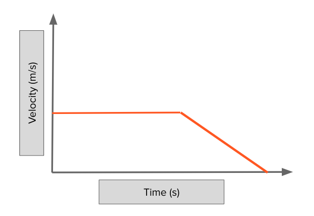
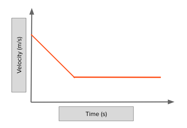
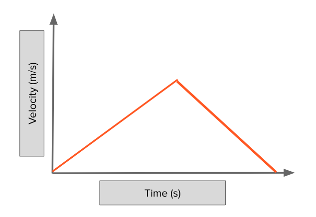
Looking at the graphs above, which one shows an object increasing its speed/velocity?
Looking at the graphs above, which one shows an object increasing its speed/velocity?
1
Which graph best shows an object decreasing its speed/velocity and then quickly increasing its speed/velocity:
Which graph best shows an object decreasing its speed/velocity and then quickly increasing its speed/velocity:
4
Based on the vector diagram above, answer the following questions. Be sure to answer all parts of this question for full credit. - What is the distance traveled? - What is the displacement? Explain what this means. - What information would be needed to find the average speed? What information would be needed to find the average velocity?
Based on the vector diagram above, answer the following questions. Be sure to answer all parts of this question for full credit.
- What is the distance traveled?
- What is the displacement? Explain what this means.
- What information would be needed to find the average speed? What information would be needed to find the average velocity?
4
Look at the data below. - What is the acceleration of the two objects? - Which object is accelerating more?
Show how you arrived at your answer. Use the "Show your work" feature to show your calculations.
Subaru Outback - In 40 seconds, the car went from 18 m/s to 36 m/s. Toyota Tacoma - In 25 seconds, the car went from 22 m/s to 8 m/s.
Acceleration = Change in Velocity / Time OR Acceleration = (final velocity - initial velocity) / (final time - initial time)
Look at the data below.
- What is the acceleration of the two objects?
- Which object is accelerating more?
Show how you arrived at your answer. Use the "Show your work" feature to show your calculations.
Subaru Outback - In 40 seconds, the car went from 18 m/s to 36 m/s.
Toyota Tacoma - In 25 seconds, the car went from 22 m/s to 8 m/s.
Acceleration = Change in Velocity / Time
OR
Acceleration = (final velocity - initial velocity) / (final time - initial time)
3
Look at the graph above and tell a story. Try to be specific to best demonstrate that you understand the graph and its details.
Look at the graph above and tell a story. Try to be specific to best demonstrate that you understand the graph and its details.
3
Given the force arrow diagram above, what is the net force? Are the forces here unbalanced or balanced? Will the velocity of the box change? Why?
Be sure to answer all parts of this question for full credit.
Given the force arrow diagram above, what is the net force? Are the forces here unbalanced or balanced? Will the velocity of the box change? Why?
Be sure to answer all parts of this question for full credit.










