L 4.3 Practice A
star
star
star
star
star
Last updated 11 months ago
6 questions
1
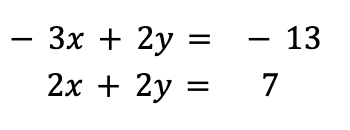
Solve the following system of equations using the Elimination Method
Solve the following system of equations using the Elimination Method
1
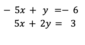
Solve the following system of equations using the Elimination Method
Solve the following system of equations using the Elimination Method
1
Solve the following system of equations using the Elimination Method
Solve the following system of equations using the Elimination Method
1
Solve the following system of equations using the Elimination Method
Solve the following system of equations using the Elimination Method
1
Solve the following system of equations using the Elimination Method
Solve the following system of equations using the Elimination Method
1
Solve the following system of equations using the Elimination Method
Solve the following system of equations using the Elimination Method