Log in
Sign up for FREE
arrow_back
Library

L 4.3 Practice B 25-26

star
star
star
star
star
Last updated about 2 months ago
6 questions
1
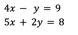
Question 1
1.

Use the Elimination method to find the solution of this system of equations.

1
1
1
1
1
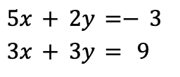
Question 2
2.

Use the Elimination method to find the solution of this system of equations.

Question 3
3.

Use the Elimination method to find the solution of this system of equations.

Question 4
4.

Use the Elimination method to find the solution of this system of equations.

Question 5
5.

Use the Elimination method to find the solution of this system of equations. Write two equations and then solve. Let x = 2 pointers and y = 3 pointers

Aniya makes 14 baskets at her first playoff game. Some of the baskets were worth 2-points and others were worth 3-points. In total, she scored 30 points. How many 2-pointers and how many 3-pointers did Aniya make?

Question 6
6.

Use the Elimination method to find the solution of this system of equations. Write two equations and then solve. Let x = washing cars and y = vacuuming cars

Trisha and Byron are washing and vacuuming cars to raise money for a class trip. Trisha raised $38.00 washing 5 cars and vacuuming 4 cars. Bryon raised $28.00 washing 4 cars and vacuuming 2 cars. Find the amount they charged to wash a car and vacuum a car.