L 4.3 Practice C 25-26
star
star
star
star
star
Last updated about 2 months ago
14 questions
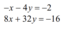
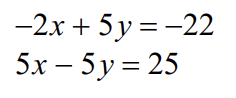
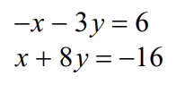
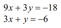
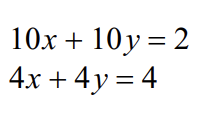
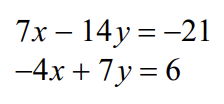
When solving systems of equations there are three possible solutions: the lines intersect at one point (x, y); the lines are parallel and never touch: no solution; or the lines are actually the same line and the they touch everywhere so we write infinitely many solutions.
1
1
1
1
1
1
