Log in
Sign up for FREE
arrow_back
Library

C07 EOTT - What are the atmosphere and hydrosphere?

star
star
star
star
star
Last updated 2 days ago
36 questions
1
1
1
1
1
1
1
1
1
1
1
1
1
1
1
1
1
1
1
1
1
1
1
1
1
Question 1
1.

Question 2
2.

Question 3
3.

Question 4
4.

Carbon dioxide gives the atmosphere the ability to trap ___________.

Question 5
5.

Question 6
6.

Question 7
7.

The boiling point of a substance is the ________________ it boils at.

Question 8
8.

Question 9
9.

Question 10
10.

Question 11
11.

Question 12
12.

Question 13
13.

Question 14
14.

The _______________ is made of all the water on or near a planets surface

Question 15
15.

Question 16
16.

Question 17
17.

Question 18
18.

Question 19
19.

Question 20
20.

Ground water is an important resource because it is a supply of _____________ water.

Question 21
21.

Question 22
22.

Question 23
23.

Water circulating the Earth in a massive planet wide system is called the ___________ ___________.

Question 24
24.

Question 25
25.

The atmosphere is a mixture of substances which are mostly in their gaseous state.
1
5
Water is constantly circulating around the Earth in a massive planet wide โ€œwater systemโ€ called the water cycle.
2
Question 28
28.
2
We call all the water on or near the Earthโ€™s surface the hydrosphere.
5
1
1
In many places ground water is an important resource because it is a source of potable water.
1
1
1
Some groundwater is stored in rocks. A student was interested in the permeability of different rocks and how this can affect the amount of water that they can store.
4
Question 36
36.

What is the atmosphere?
A mixture of substances which are mostly in their liquid states
A mixture of substances which are all in their gaseous states
One substance (Nitrogen), which is in the gaseous state
A mixture of substances which are mostly in their gaseous states
What gas makes up 78% of the atmosphere?
Oxygen
Nitrogen
Hydrogen
Carbon dioxide
What gas makes up 21% of the atmosphere?
Oxygen
Nitrogen
Hydrogen
Carbon dioxide
Why is some air pollution invisible?
Some air pollution is made of solid particulates
Some air pollution is made of sub-microscopic molecules
What temperature will a liquid evaporate at?
Its boiling point
Any temperature
100 degrees Celsius
Warm temperatures only
A substance is heated and bubbles are observed all through the liquid. What is happening?
Boiling
Evaporation
Where does evaporation of a liquid happen?
All through the substance
At its surface
The holds between particles in a liquid are ________.
weak
strong
How does temperature affect the rate of evaporation?
Evaporation happens at any temperature so temperature has no effect
Evaporation happens slower at higher temperatures
Evaporation happens faster at higher temperatures
Evaporation happens faster at higher temperatures, but it must be sunny
What are clouds made of?
Tiny droplets of liquid water
Water in the gaseous state
What physical process forms clouds?
Evaporation
Condensation
Crystallisation
Boiling
Where is ground water stored?
In gaps inside rock, soil and sediment
Seas and oceans
Polar regions (North and South pole) and glaciers
As liquid water droplets in cloud and water vapour
What are the main stores of salt water?
The water in gaps inside rock, soil and sediment
Seas and oceans
Polar regions (North and South pole) and glaciers
As liquid water droplets in cloud and water vapour
Where is water stored as ice on Earth?
In gaps inside rock, soil and sediment
Seas and oceans
Polar regions (North and South pole) and glaciers
As liquid water droplets in cloud and water vapour
How is water stored in the Earth's atmosphere?
In gaps inside rock, soil and sediment
Seas and oceans
Polar regions (North and South pole) and glaciers
As liquid water droplets in cloud and water vapour
What is potable water?
Water that is safe to drink
Water that has been filtered to remove dirt and rocks
Dirty water that has been used already
Water that can be stored and transported in pots
Why can a source of pollution contaminate large areas of ground water?
Ground water flows fast
Ground water flows slowly
Is the water cycle caused by a chemical or physical process?
Chemical process
Physical process
How is water transferred into the atmosphere?
By evaporation
By condensation
________ surface and ground water flows towards the sea.
All
Some
Question 26
26.

Draggable itemarrow_right_altCorresponding Item
arrow_right_alt
arrow_right_alt
arrow_right_alt
Question 27
27.

Air pollution can be visible or invisible. Carbon dioxide is an invisible pollutant that is released into the atmosphere from combustion of fossil fuels.

Complete the pie chart from the table of data showing carbon dioxide emissions.

X _______
Y _______
Question 29
29.
Use the words below to complete the paragraph to explain how clouds are formed. You will not need to use all words.

Evaporate, solid, gaseous, vapour, condense, liquid, sub-microscopic.

Water vapour in the air can _______ around tiny _______ particulates in the air. These tiny _______droplets can form large groups we call clouds.
Question 30
30.

Where are the five main stores of water on Earth?

Question 31
31.

About 0.65% of the water on earth is stored as groundwater. Some of the groundwater is stored in rocks.

Draw on the picture where ground water in rocks is stored.

Question 32
32.

Where does all ground water flow slowly towards?

Question 33
33.

What is potable water?

Question 34
34.

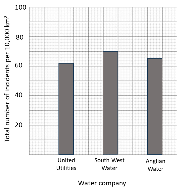
Human activities can contaminate groundwater stores. Sometimes contamination is caused by the sewage and waste from homes, which is managed by water companies.

The graph below shows the sewage and waste pollution in the UK by different water companies.

Which water company had 65 incidents per 10,000 km2?

Question 35
35.

How many incidents per 10,000 km2 did United Utilities have?

The graph below shows the mass of rocks before and after being put in a beaker of water.

Calculate the percentage change in mass of rock B.

Percentage change in mass = (change in mass รท initial mass) x 100
Match up the substances to the percentage of them that is found in the atmosphere.
Carbon dioxide
21%
Nitrogen
0.04%
Oxygen
78%