Log in
Sign up for FREE
arrow_back
Library

MAP: Algebra 1 EOC

star
star
star
star
star
Last updated about 1 year ago
36 questions
1
A1.REI.B.4
1
A1.SSE.A.2
2
A1.IF.B.3
1
A1.DS.A.3
1
A1.CED.A.4
1
A1.APR.A.2
1
A1.NQ.A.1
1
A1.BF.A.1
1
A1.DS.A.5.a
2
A1.REI.C.6
1
A1.DS.A.1
1
A1.REI.A.2.a
2
A1.SSE.A.3.a
1
A1.CED.A.2
1
A1.BF.A.1
1
A1.DS.A.8
1
A1.REI.C.8
1
A1.IF.A.2
3
A1.IF.A.1.b
1
A1.IF.A.1.a
1
A1.LQE.A.3
1
A1.LQE.A.3
1
A1.DS.A.6
3
A1.IF.C.9
1
A1.LQE.A.1.a
1
A1.DS.A.7
1
A1.APR.A.1
Question 1
1.

Question 2
2.

Question 3
3.
Kelli recorded the amount of money she earned (y) for hours worked (x), in the table shown. Select the words that correctly complete the sentences.


The function is__________
The function is __________
The function is __________
Question 4
4.

Question 5
5.

Question 6
6.

The area, in square units, of a rectangle is represented by
If the width, in units, is 2x, what is the length, in units?

Enter the expression that represents the length, in units, in the box.

Question 7
7.

Question 8
8.

Question 9
9.

Question 10
10.

The ordered pairs in the table are possible solutions to the given equations.

Match each ordered pair to the equation for which it is a solution. Ordered pairs may be used more than once.

Question 11
11.

Question 12
12.

Question 13
13.

Question 14
14.

The graph of a linear equation is shown. What equation represents the graph shown? Enter an equation that represents the graph.

Question 15
15.

Question 16
16.

Question 17
17.

Riley needs to save $300 for a computer. She gets an allowance of $10 a week and has already saved $75
1
A1.CED.A.1
1
A1.CED.A.1
Question 20
20.

Question 21
21.

  • Click a Graph tab (Graph 1, Graph 2, and so on) for each graph you need to plot.
  • Choose the correct graph type.
  • Click on the graph background to add a point. Add two points to create a graph. Drag a point or type in x and y coordinates to edit its position. Click on a point to delete it.
  • After creating your graph, you can check the dashed line box.
Linearexpand_more
Question 22
22.

Question 23
23.
A student graphs f(x)=x^2
and then graphs g(x)=x^2+5
Select the word that correctly completes the sentence.

The graph of g(x) will be shifted __________ 5 units from the graph of f(x)
Question 24
24.

Match each function type with the function shown in each table.

Question 25
25.

Question 26
26.

Compare f(x)=x^2x-3 and g(x). Function g(x) is show below.

Match the property with its corresponding function. A property may match one function, both functions, or neither function.

Question 27
27.

Johnathan is trying to solve the system of equations. Graph the system of equations.
1
A1.REI.B.3
1
A1.REI.B.3
Question 30
30.

Draggable itemarrow_right_altCorresponding Item
arrow_right_alt
arrow_right_alt
arrow_right_alt
arrow_right_alt
1
A1.NQ.B.3.a
1
1
A1.LQE.A.3
1
A1.LQE.A.3
1
A1.CED.A.3
Question 36
36.

Tony is installing a rectangular pool in the backyard. The pool needs to have a length of 10 feet more than the width. The backyard is a square with each of its sides measuring 5 feet more than 3 times the width of the pool.

Write an expression for the area surrounding the pool after the pool is installed. Show your work.

A system of equations is graphed below. What are the solutions to the system?

(0, 5.6) and (0, 13)
(0, 13) and (16, 1)
(4, 10) and (6.7, 7.975)
(16, 1) and (10, 0)
Which of the following are factors of the equation when written in factored form? Select all that apply.

a-4
a+4
2a-9
2a-3
2a+3
2a+9
The table shows the distances that schools will travel to attend a field trip to the state capitol. School 7 has to travel 15 miles. If this outlier is added to the data, which is a true statement about how it changes the data in the table? Select all statements that apply.
A. The data is less spread.
B. The data is more spread.
C. Both the median and the mean change.
D. There is no change in the median and mean.
E. There is no change in the spread of the data.
F. The median stays the same, and the mean changes.
G. The median changes, and the mean stays the same.
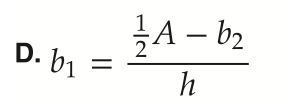
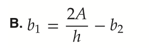
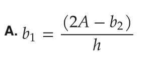
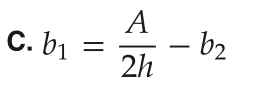
The formula for the area of a trapezoid is

Solve for b1. Which equation is a correct value for b1?
Which student correctly solved this expression?

A. Jo says the answer is
because the exponents should be added.
B. Kerrie says the answer is
because the exponents should be added.
C. Alex says the answer is
because the exponents should be multiplied.
D. Tracy says the answer is
because the exponents should be multiplied.
This is the graph of y=f(x)


Which of the following is the graph of y=2f(x)-1?
A.
B.
A residual is defined as the difference between the actual value of the dependent variable and the value predicted by the model. Which graph best represents a relationship that minimizes residuals?
A
B
C
D
A police department captured 30 speeds on radar and organized their data in the box plot shown. What can be inferred from the data? Select all that apply.
A. The mean is equal to the median.
B. The mean is probably less than 30 mph.
C. The mean is probably more than 30 mph.
D. If an officer captures an additional speed of 70 mph, the mean must change.
E. If an officer captures an additional speed of 70 mph, the median must change.
Which equation completes the square to create an equivalent to
in the form of
A. (x-5)^2=12
B. (x+5)^2=12
C. (x+5)^2=25
D. (x-5)^2=25
Which of the equations are represented by the graph shown? Select all that apply.
A. y=(x-2)(x-4)
B. y=(x-3)^2-1
C. (x-3)^2+1
D. y=x^2-6x+8
E. y=x^2+6x+8)
The quadratic function f(x) is shown in the graph below.
If the graph of f(x) is moved left 4 units and down 2 units, what would be the equation for the new graph in vertex form?
A. f(x)=(x-4)^2-2
B. f(x)=(x-1)^2+2
C. f(x)=(x+4)^2-2
D. f(x)=(x+2)^2+1
A car sales business is analyzing the number of cars sold and the average daily high temperature. The data is shown on the graph below. Which statement is correct based on the data?
A. The temperature gives no indication of car sales.
B. If the temperature is 50, the amount of car sales will definitely be 4 cars.
C. The higher temperature is correlated to higher car sales and causes the car sales to increase.
D. The higher temperature is correlated to higher car sales, but does not necessarily cause the car sales to increase.
Select the graph that shows the solutions to the system of linear inequalities.


Question 18
18.
How many week, x, until Riley will have enough money to buy the computer? Select the correct inequality symbol to model the situation.

300 __________ 10x +75
Question 19
19.

The following function was used to calculate the profit generated by selling T-shirts.

f(x)=15x-25 represents the number of t-shirts sold. Which statement is true of f(200)?
A. It results in 15 and means that 15 T-shirts were sold.
B. It results in 15 and means that $15 was made in profit.
C. It results in 2,975 and means that 2,975 T-shirts were sold.
D. It results in 2,975 and means that $2,975 was made in profit.
The equation of function f


The function of f is


Graph function f over its domain. Be sure to include labels and appropriate increments for the axes
Which of the following relations represent functions? Select all that apply.
D. f(x)=3x+1
Which of the following statements describe the linear model shown? *Select all that apply.*
A. The number of days missed has no correlation to a student’s final exam grade.
B. A student with perfect attendance is expected to score approximately 98% on the math final.
C. A student with perfect attendance is expected to score approximately 38% on the math final.
D. For each day a student is absent, that student’s final exam score is expected to decrease approximately 6 percentage points.
E. For every sixth day a student is absent, a student’s final exam score is expected to decrease approximately 1 percentage point.
Which tables represent linear functions? Select all that apply.
Question 28
28.

Graph the systems of equations.

  • Click a Graph tab (Graph 1, Graph 2, and so on) for each graph you need to plot.
  • Click on the graph background to add a point. Add two points to create a graph. Drag a point or type in x and y coordinates to edit its position. Click on a point to delete it.
  • After creating your graph, you can check the dashed line box.
Question 29
29.
What is the solution to the system?

(_______ , _______)
The following scatterplots show relationships between two variables. Match the correct correlation coefficient with each graph.
r = -0.76
r = 0.08
r = 0.43
r = -0.14
Tony moved to a new house and wants to install a pool and landscape the
yard. He will hire a company to manage the landscaping. T ony is considering
hiring Company A or Company B.

Company A’s and Company B’s landscaping costs are shown in the tables
below.

Question 31
31.

Tony is reseeding the front lawn. The lawn covers 2,500 square feet and grass seed is $15.98 for each 7-pound bag. Each pound of grass seed covers 150 square feet. How much will it cost to reseed the lawn? Show all work.

Question 32
32.

Write an equation to model what it would cost if Company A was hired.

Question 33
33.

Write an equation to model what it would cost if Company B was hired.

Question 34
34.

Which company would cost Tony the least amount to landscape 2,500 square feet? Explain your answer.

Question 35
35.
At how many square feet will both companies cost the same amount? Enter the answer in the box.

_______ square feet
What is the value that is a solution to the situation in Part A?
A. 20
B. 21
C. 22
D. 23