Log in
Sign up for FREE
arrow_back
Library

MAP: Grade 3 Math

star
star
star
star
star
Last updated about 1 year ago
44 questions
1
3.RA.E.11
1
3.NBT.A.2
1
3.DS.A.2
1
3.GM.B.8
1
3.RA.D.10
1
3.NBT.A.1
1
3.DS.A.1
1
3.NF.A.6
1
3.GM.B.6
1
3.NBT.A.3
1
3.RA.A.4
1
3.GM.B.4
1
3.NF.A.2.a
1
3.NBT.A.4
1
3.RA.B.6
1
3.NF.A.3.c
1
3.RA.C.7
1
3.GM.D.15
1
3.NF.A.1
1
3.RA.D.9
1
3.NBT.A.1
1
3.NF.A.3.c
1
3.RA.D.9
1
3.GM.C.12
1
3.NF.A.1
1
3.DS.A.3
1
3.RA.A.1
1
3.NBT.A.4
1
3.GM.D.16
1
3.NBT.A.4
1
3.NBT.A.2
1
3.NF.A.4
1
3.RA.B.6
1
3.NBT.A.1
1
3.GM.A.1
1
3.NF.A.7
1
3.RA.A.2
1
3.NBT.A.3
1
3.NF.A.5
1
3.RA.E.11
1
3.GM.C.9
1
3.RA.A.5
1
3.GM.D.15
1
3.RA.A.1
Question 1
1.

A pattern is shown: 15, 18, 21, 24, 27 What is the rule for the pattern?

Question 2
2.

There are 34,098 fans at the baseball stadium. What is the number name for the fans at the baseball stadium?

Question 3
3.

Wesley goes bird watching each day for four days. He makes a picture graph to show how many birds he sees on each day.
How many more birds did Wesley see on Wednesday than on Monday?

Question 4
4.

A swimming pool has 245 gallons of water in it. A hose is used to add 330 more gallons of water to the swimming pool. How many gallons of water are in the swimming pool now?

Question 5
5.

Donny is saving money to buy a skateboard that costs $28. He has saved $11 so far. Donny rounds each of these numbers to the nearest ten to estimate how much more money he needs to save. He estimates that he needs to save $10 more to buy the skateboard. Donny made a mistake. Which statement most likely explains the mistake Donny made while estimating?

Question 6
6.

The organizer of a marathon purchased 654 bottles of water for the runners to drink. Select the two numbers that represent either the number of bottles rounded to the nearest ten or the number of bottles rounded to the nearest hundred.

Question 7
7.

Kate counts the number of dogs she sees at a dog park each day for 5 days. She makes the table to show how many dogs she sees.

Make a bar graph to show Kate’s data.

Question 8
8.

Monique has finished 3/4 of her math project and 3/8 of her reading project.

Which statement correctly compares the fractions of the projects Monique has finished?

Question 9
9.

The point on the number line shows that Malcolm started riding a train at 3:12 in the afternoon.


For how many minutes did Malcolm ride the train?

Question 10
10.

How many total copies of the worksheet do they make?

Question 11
11.

How many seeds does Kyle plant in each row?

Question 12
12.

Draw an hour hand and a minute hand on the clock face to show what time Raj starts his game of chess.

Question 13
13.

Percy plays on a soccer team. To show the fraction of soccer games in which he scored a goal, he makes the picture below.


Percy shades in part of his picture to show the fraction of soccer games in which he scored a goal. Then, he writes
to represent this fraction. What numerator should Percy put in the box?

Question 14
14.

Ms. Isama’s class set up 8 rows of chairs for a school assembly. Each row had 40 chairs. How many chairs did Ms. Isama’s class set up for the assembly?

Question 15
15.

Inez buys 5 boxes of granola bars. There are 8 bars in each box. Which expression is equivalent to the total number of granola bars?

Question 16
16.

A number line is shown.
What fraction does the location of A represent on the number line?

Question 17
17.

Select the two expressions that could help Mariana find the value of 63 ÷ 9.

Question 18
18.

Ricardo's living room is shaped like a rectangle. The diagram represents his living room.

What is the perimeter, in feet, of Ricardo’s living room?

Question 19
19.

Match each pizza with the fraction representing the part that has pepperoni. Draw a line to make each match.

Draggable itemarrow_right_altCorresponding Item
1/4
arrow_right_alt
arrow_right_alt
arrow_right_alt
arrow_right_alt
arrow_right_alt
Question 20
20.

Deborah needs to buy 36 cupcakes for a class party. She buys 4 containers that each have 6 cupcakes. She creates the equation shown to find out how many more cupcakes, c, she needs to buy.

(4 × 6) + c = 36

How many more cupcakes does Deborah need to buy?

Question 21
21.

The distance from Jay’s home to his aunt’s home is 1,845 kilometers. What is this distance, in kilometers, rounded to the nearest hundred?

Question 22
22.

Which number line shows
"w" located at

Question 23
23.

There are 3 bushes outside of Ms. Wilbourne’s classroom. Each bush has 10 flowers. Ms. Wilbourne picks all of the flowers and divides them equally among 6 teachers. How many flowers does each teacher receive?

Question 24
24.

A diagram of Miss Alicia’s classroom is shown.

What is the area, in square meters, of Miss Alicia’s classroom?

Question 25
25.

The Khan family orders a pizza to share. The pizza is cut into 8 slices. Select the two options that show the part of the whole that is represented by 1 piece of the pizza.

Question 26
26.

Maria asked 10 friends to name the capital cities of 10 different states. The list shows the number of capital cities each friend correctly named.

4, 4, 6, 6, 7, 7, 7, 8, 8, 10

Make a line plot to show the number of capital cities each friend correctly named.

Question 27
27.

Which expression shows another way to find 3 × 7?

Question 28
28.

There are 6 third-grade classrooms at Washington Elementary. Each classroom has 30 desks. What is the total number of desks in the third-grade classrooms at Washington Elementary?

Question 29
29.

Ian makes two rectangular flags.
  • One flag has a length of 6 feet and a width of 4 feet.
  • The other flag has a length of 7 feet and a width of 3 feet.
Which statement about the two flags is correct?

Question 30
30.

Arthur purchased a car for $10,565. Which expression represents the price of the car in expanded form?

Question 31
31.

In each of the two equal-sized circles below, the shaded part represents a fraction.
Which statement correctly explains why the shaded part of each circle must represent the same fraction?

Question 32
32.

Which expression could be used to represent 5 × 8?

Question 33
33.

Garrett collects rocks. He rounds the number of rocks he has to the nearest ten and says he has 40 rocks. For each number in the table, mark whether it is Possible or Not Possible as the number of rocks in Garrett’s collection.

Question 34
34.

Question 35
35.

To answer a question, Abel multiplies 2 × 6. Which question could Abel be answering?

Question 36
36.

At Ellen’s school, 5/6 of the students take the bus. At Ramon's school, 4/6 of the students take the bus.

Ellen says, 'More students take the bus at my school than at Ramon’s school.' Ramon says, 'More students take the bus at my school than at Ellen’s school.' Which piece of information is needed to determine who is correct?

Question 37
37.

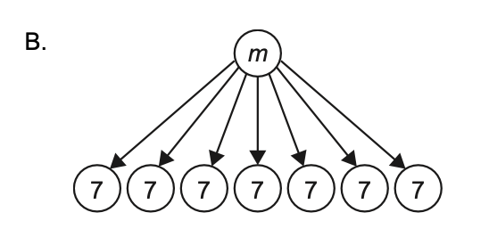
Which model represents the equation 56 ÷ 7 = m?

Question 38
38.

There are 318 students who attend Jefferson Elementary. There are 504 students who attend Riverside Elementary. How many more students attend Riverside Elementary than Jefferson Elementary?

Question 39
39.

Trevon says that 2/8 of the circle shown is shaded.
What other fraction could Trevon use to describe the fraction of the circle that is shaded?

Question 40
40.
Nolan opens 5 boxes of books for a book fair. Each box has the same number of books in it. Nolan puts all the books from each box on shelves. He makes a table to show how many books he has put on shelves for the first 4 boxes.

Use the words and numbers below the blank lines to describe the pattern to find the total number of books.

The total number of books Nolan will put on shelves is equal to the number of books in the first 4 boxes__________ __________
Question 41
41.

Tamara covers the figure shown with unit squares to find the area of the figure.

What is the area, in square units, of Tamara’s figure?

Question 42
42.

An equation is shown. 6 × __ = 48 What number completes the equation?

Question 43
43.

A figure with one missing side length is shown.
Determine the value of n and the perimeter of the figure. Show or explain your work.

Question 44
44.

An array of squares is shown.


Create a multiplication or division equation, being sure to include an unknown that represents the array. Explain how your equation represents the array. Then use your equation to create a word problem.

B. 650
C. 655
D. 660
E. 700
5
8
B. 9 ÷ 63
C. 9 × 7
D. 9 ÷ 7
E. 63 × 9
D. 108
1/2
1/8
1/3
1/6
63
1 out of 8
8 – 1
D. The flags have different areas and different perimeters.
The shaded pieces in one circle are smaller than the shaded pieces in the other circle.
Several shapes are shown.


Select the two statements that are true about ALL of the shapes.
A. They are all parallelograms.
B. They are all quadrilaterals.
C. They all have right angles.
D. They are all polygons.
E. They are all rectangles.
F. They all have acute angles.
D. 20