Unit 7 Optional Review: Polynomial Expressions and Equations (Bartels M3H)
star
star
star
star
star
Last updated 10 months ago
32 questions
Multiple Choice Practice
1
What is the remainder of the quotient.
\frac{x^{2}+8x-84}{x-6}
What is the remainder of the quotient.
\frac{x^{2}+8x-84}{x-6}
1
What is the remainder of the quotient.
\frac{n^{2}+11n+25}{n+5}
What is the remainder of the quotient.
\frac{n^{2}+11n+25}{n+5}
1
What is the remainder of the quotient.
\frac{y^{2}-3y-20}{y-7}
What is the remainder of the quotient.
\frac{y^{2}-3y-20}{y-7}
1
What is the end behavior of the following:
y=(x^{7}+1)(x^{5}−2)(x^{3}+4)
What is the end behavior of the following:
y=(x^{7}+1)(x^{5}−2)(x^{3}+4)
1
What is the end behavior of the following:
y=(x^{3}+1)(x^{2}−3)(x-2)
What is the end behavior of the following:
y=(x^{3}+1)(x^{2}−3)(x-2)
1
What is the end behavior of the following:
y=-x^{5}+2x^{3}−5x^{2}+4x-3
What is the end behavior of the following:
y=-x^{5}+2x^{3}−5x^{2}+4x-3
1
What is the end behavior of the following:
y=-x^{4}-3x^{2}
What is the end behavior of the following:
y=-x^{4}-3x^{2}
1
Rewrite the expression in standard form. Then, classify it by degree and leading coefficient.
Rewrite the expression in standard form. Then, classify it by degree and leading coefficient.
1
Rewrite the expression in standard form. Then, classify it by degree and leading coefficient.
Rewrite the expression in standard form. Then, classify it by degree and leading coefficient.
1
Rewrite the expression in standard form. Then, classify it by degree and leading coefficient.
Rewrite the expression in standard form. Then, classify it by degree and leading coefficient.
1
Rewrite the expression in standard form. Then, classify it by degree and leading coefficient.
Rewrite the expression in standard form. Then, classify it by degree and leading coefficient.
1
What is the maximum number of zeros in this polynomial?
What is the maximum number of zeros in this polynomial?
1
What is the maximum number of turns in this polynomial?
What is the maximum number of turns in this polynomial?
1
What is the maximum number of zeros in this polynomial?
What is the maximum number of zeros in this polynomial?
1
What is the maximum number of turns in this polynomial?
What is the maximum number of turns in this polynomial?
1
Factor completely:
Factor completely:
1
Write the exact equation to the following graph if one point goes through (-1,1):
Write the exact equation to the following graph if one point goes through (-1,1):
1
Which of the following represent the following:- a point of inflection at (0,0) - bounces off the x-axis at x=-3 - crosses at the zero (1,0)
Which of the following represent the following:
- a point of inflection at (0,0)
- bounces off the x-axis at x=-3
- crosses at the zero (1,0)
1
Which one correctly represents the root of 7i
Which one correctly represents the root of 7i
1
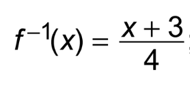
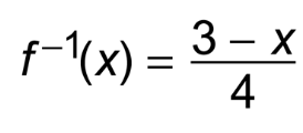
What is the inverse of f (x)?
What is the inverse of f (x)?
10
What is the inverse of f (x)?
What is the inverse of f (x)?
10
What is the inverse of f (x)?
What is the inverse of f (x)?
10
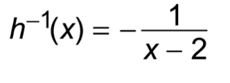
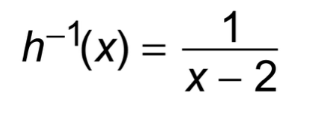
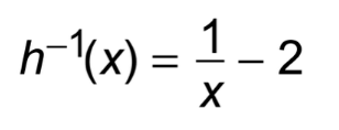
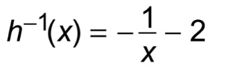
What is the inverse of h(x)?
(this one is hard, see if you can do it!)
What is the inverse of h(x)?
(this one is hard, see if you can do it!)
Synthetic Division/Remainder Theorem
3
Is the following a factor
\frac{x^{3}+2x^{2}-22x-45}{x+5}
__________ , the following __________ because the remainder is __________
3
Is the following a factor
\frac{4x^{3}+23x^{2}-41x-42}{x+7}
__________ , the following __________ because the remainder is __________
3
Is the following a factor
\frac{p^{4}-7p^{2}-32p-15}{p-4}
__________ , the following __________ because the remainder is __________
1
Factor the following:
Factor the following:
1
Factor the following:
Factor the following:
1
Factor the following:
Factor the following:
1
Factor Completely:
given that f(4)=0
Factor Completely:
given that f(4)=0
1
Factor Completely:
given that x=-2
Factor Completely:
given that x=-2
6
Fill out the following based on the following polynomial.
Even or Odd: _______
Positive or Negative_______
Factored Form: _______
x-intercepts: _______ (list from smallest to largest)
y-intercept: _______
End Behavior:
as x→-∞, y→_______
as x→∞, y→_______