Log in
Sign up for FREE
arrow_back
Library

8th Grade Math: Unit 2

star
star
star
star
star
Last updated about 1 year ago
42 questions
1
8.PAR.4.1
Unit 2 – Item 1
Shawnda is measuring the growth of a plant over time. She has been tracking the plant’s height every week. After analyzing her data, Shawnda notices that the plant’s height is increasing at a constant rate, with each week adding to its height. The graph below shows the data that Shawnda has been collecting over the last few weeks.

1
8.PAR.4.1
1
8.PAR.4.1
Unit 2 – Item 2
Dana and Tara have decided to visit their local supermarket to prepare dinner for their friends. While there, they decided to make a table for the potatoes that cost $3.25 per pound.

1
8.PAR.4.1
1
8.PAR.4.1
1
8.PAR.4.1
Unit 2 – Item 3
The graph below represents the time, in hours, and the distance, in miles, it took Khylen and Gilberto to run at the Savannah Rapids Pavilion in Evans, Georgia.

1
8.PAR.4.1
1
8.PAR.4.1
1
8.PAR.4.1
1
8.PAR.4.1
1
8.PAR.4.1
Unit 2 – Item 5
Mrs. Carlyle has been teaching mathematics for over forty years. In her spare time, she likes to tutor students in the community privately. She charges $25 an hour. If she has two or more students from the same family, she gives each student a $5 discount per session. Ellijah and Elliyah are twins, and they both take tutoring lessons from Mrs. Carlyle. Their best friend, Wilce, also takes lessons.
1
8.PAR.4.1
Unit 2 – Item 6
Throughout the school year, JyMelvion has been saving up money from his allowance to buy a new video console. He’s been diligently keeping track of his earnings and expenses in a journal.

However, this week, JyMelvion accidentally misplaced $20 from his earnings.


1
8.PAR.4.1
1
8.PAR.4.1
1
8.PAR.4.1
Unit 2 – Item 7
Zoe surveyed her friends in her study group to find out how many hours they each spent studying and how many hours they watched TV. The table below displays her findings.


1
8.PAR.4.1
Unit 2 – Item 8
Create a vending machine with contents of your choice. Include pricing for each item.
1
Question 16
16.
8.PAR.4.1
1
8.PAR.4.1
1
8.PAR.4.1
Unit 2 – Item 9
Mr. Daniels is planning a celebration for teachers and students at the local skate park.
Admission for students (x) is $8 and admission for teachers (y) is $5. Mr. Daniels will spend $500 on the celebration.
1
8.PAR.4.1
1
8.PAR.4.1
Question 21
21.

Unit 2 – Item 10
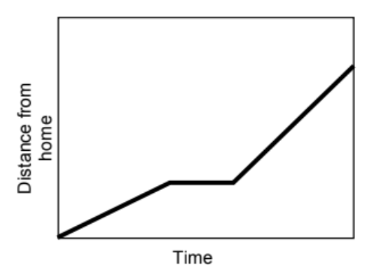
Create a story that models the graph below.

1
8.PAR.4.1
1
8.PAR.4.1
1
8.PAR.4.1
1
8.PAR.4.1
1
8.PAR.4.1
Unit 2 – Item 12
Kenneth and Jordan are planning to construct a rectangular garden bed in their backyard for their vegetable patch. They have 60 feet of wood material and plan to use all of it.
1
8.PAR.4.1
1
8.PAR.4.1
Unit 2 – Item 13
The Xteam Cab car ride service charges an initial fee of $4.00 plus $0.75 per mile for each mile traveled. Let the x-axis represent the actual number of miles traveled and the y-axis represent the cost in dollars.
1
8.PAR.4.1
1
8.PAR.4.1
Item 2 - Item 14
Charlie tracked the cost of batch-recording YouTube videos in the table below.

1
8.PAR.4.1
1
8.PAR.4.1
Unit 2 – Item 15
Jevon has been given the graph below to analyze by his 8th grade math teacher, Mrs. Janice. She gave him the following instructions, “you can use the y-intercept and slope to obtain a graph of an equation. Analyze the graph and answer the questions that are below it.”

1
8.PAR.4.1
1
8.PAR.4.1
1
8.PAR.4.1
Unit 2 – Item 16
The equation of a linear function that passes through the point (−4,3) and has a slope of 1/2 be written in point-slope form as 𝑦−3=12(𝑥+4).
1
8.PAR.4.1
Unit 2 – Item 17
Rachel has a monthly cell phone bill that is based on a monthly fee and a fee for each minute of calls she makes. Last month, her bill was $90 for 500 minutes of usage. Three months ago, her bill was $65.21 for 256 minutes of usage. The graph represents the amount she is charged each month based on the number of minutes she uses.

1
8.PAR.4.1
1
8.PAR.4.1
1
8.PAR.4.1
1
8.PAR.4.1
1
8.PAR.4.1
1
Question 42
42.

Richard made several errors while completing the tak. Can you find his errors and explain your reasoning on why they are wrong and help him make his grade better?

8.PAR.4.1
Question 1
1.

Analyze the graph and model the equation that the graph represents. Is the equation a proportional equation? If the graph does represent a proportional equation, justify your
reasoning. If it does not represent a proportional equation, justify your reasoning.

Question 2
2.

Can you identify the rate of change of the plant’s growth each week?

Question 3
3.

PART A
What is the relationship of the potatoes represented as an equation?

Question 4
4.

PART B
What if the local store decided to charge $0.50 for a potato bag? Model an equation to represent the cost per pound of potatoes and the bag of potatoes.

Question 5
5.
Question 6
6.

Unit 2 – Item 4
Two friends, Jabal and Alexis, are conducting an experiment to study the relationship between the amount of water they drink and the number of hours they can study effectively. They both start with a baseline of drinking no water and studying for 0 hours. As they increase the amount of water they drink, they observe an increase in the number of hours they can study effectively. After collecting their data, they noticed that Jabal’s data points form a straight line that passes through the origin, while Alexis’s data points form a straight line that intersects the vertical axis at 6.

Question 7
7.

Describe the characteristics of Jabal’s graph, including the equation representing his relationship between the amount of water he drinks and the number of hours he can study effectively.

Question 8
8.

Explain why Jabal’s data forms a straight line that passes through the origin and how this relates to a proportional relationship.

Question 9
9.

Compare and contrast Alexis’s graph with Jabal’s, considering the equation that represents Alexis’s relationship between the amount of water she drinks and the number of hours she can study effectively.

Question 10
10.

Justify why Alexis’s graph forms a straight line that intersects the vertical axis and how it relates to a non-proportional relationship.

Question 11
11.

Model two equations that represent the cost that Ellijah and Elliyah to take tutoring sessions from Mrs. Carlyle and represent the equations on a graph.

Question 12
12.

Model an equation that represents JyMelvion’s earnings and the amount he misplaced.

Question 13
13.

Does the equation you have modeled represent the information in the graph? Analyze the graph and justify your reasoning.

Question 14
14.

If JyMelvion had not misplaced the $20 this week, how would the equation change? Model an equation that represents the situation.

Question 15
15.

Is the relationship a function or not a function? Explain how you know.

Question 17
17.

Does your vending machine represent a function?

Question 18
18.

Justify that your vending machine represents a function modeling your vending machine in a different representation (mapping, table, graph). If your vending machine does not represent a function, what adjustments need to be made for it to represent a function?

Question 19
19.

PART A
Write an equation for the total cost of taking students and teachers to the skate park.

Question 20
20.

PART B
Write the equation from part A in slope-intercept form.

Unit 2 – Item 11
Jayleen and Ja’Keria were in study skills class discussing functions and linear relationships. Jayleen gave Ja’Keria the steps below to complete. Can you help Ja’Keria model and represent the given statements?
Question 22
22.

The x-intercept of a linear equation is 3 and the y-intercept is 7. Graph this line on the coordinate plane.

  • Click a Graph tab (Graph 1, Graph 2, and so on) for each graph you need to plot.
  • Click on the graph background to add a point. Add two points to create a graph. Drag a point or type in x and y coordinates to edit its position. Click on a point to delete it.
  • After creating your graph, you can check the dashed line box.
Question 23
23.

Look at the graph and determine the slope

Question 24
24.

Write an equation of the line in slope-intercept form

Question 25
25.

Use the x-intercept and the slope to write an equation in point-slope form

Question 26
26.

Are the equations from part C and part D equivalent? Why or why not?

Question 27
27.

Question 28
28.

PART B
When you choose your answer, explain your reasoning, and model the equation in slope-intercept form.

Question 29
29.

Graph the cost of using Xteam’s services

  • Click a Graph tab (Graph 1, Graph 2, and so on) for each graph you need to plot.
  • Click on the graph background to add a point. Add two points to create a graph. Drag a point or type in x and y coordinates to edit its position. Click on a point to delete it.
  • After creating your graph, you can check the dashed line box.
Question 30
30.

How much would you pay for a 7-mile ride? Explain your reasoning using the equation for your graph.

Question 31
31.

Model an equation for the table of values. Round to the nearest hundredths.

Question 32
32.

Convert the created equation to standard form.

Question 33
33.

Help Jevon identify the slope and y-intercept of the graph.

Question 34
34.

Explain how the slope and y-intercept are being used to obtain the graph formed by an equation and right an equation in slope-intercept form.

Question 35
35.

Is it possible to use a different, but equivalent, slope to graph the line? If so, show how. If not, explain why not.

Question 36
36.

Question 37
37.

Use the information in the box to complete each statement.

Unit 2 – Item 18
The Augusta-Richmond County Commissioners hired a team to study the city’s future population growth. The study projects Augusta’s population growth over the next 25 years, as shown in the table.

Question 38
38.

Write an equation in slope-intercept form to represent Augusta’s growth. Explain your reasoning for your equation.

Question 39
39.

Graph the function to represent your equation from Part A

  • Click a Graph tab (Graph 1, Graph 2, and so on) for each graph you need to plot.
  • Click on the graph background to add a point. Add two points to create a graph. Drag a point or type in x and y coordinates to edit its position. Click on a point to delete it.
  • After creating your graph, you can check the dashed line box.
Question 40
40.

What is the initial value of the function? Explain what the initial value of the function means in this scenario.

Question 41
41.

What is the rate of change of the function? Explain what the rate of change means in this situation.

Unit 2 – Item 19
Richard was given a function card sort task in Ms. Hargrave’s class to label functions as linear or nonlinear. He completed the task below.


Function D: Timothy borrowed $30 from his mom to attend the 8th
-grade social. He pays back $5 each week until the debt is repaid.

Function E: V = 𝑠2

Function F:

Function G



Which two equations from the list represent graphs A and B?
y=2x-6
y=5x
y=10x+4
y=5x+5
PART A
If x represents the length of the rectangular garden bed and y represents the width of the
rectangular garden bed, which equations below represent this situation? When you choose your
answer, explain your reasoning, and model the equation in slope-intercept form.
x + y = 30
x + y = 60
x ● y = 60
x/y = 60
Which equation can be used to BEST identify the y-intercept of the linear function?
A
B
C
D