Log in
Sign up for FREE
arrow_back
Library
02/25 One and Two Step Inequalities
By A D
star
star
star
star
star
Share
share
Last updated about 2 months ago
10 questions
Add this activity
1
1
1
1
1
1
1
1
1
1
Question 1
1.
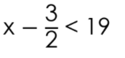
Solve the inequality.
visibility
View drawing
Question 2
2.
Solve the inequality.
visibility
View drawing
Question 3
3.
Solve the inequality.
visibility
View drawing
Question 4
4.
Solve the inequality.
visibility
View drawing
Question 5
5.
Solve the inequality.
visibility
View drawing
Question 6
6.
Without solving, determine if you will need to flip the sign for each problem
Question 7
7.
Solve the inequality.
visibility
View drawing
Question 8
8.
Solve the inequality.
visibility
View drawing
Question 9
9.
Solve the inequality.
visibility
View drawing
Question 10
10.
Solve the inequality.
visibility
View drawing
Flip the Sign
Sign Remains the Same