Log in
Sign up for FREE
arrow_back
Library

Unit 9 - Modeling and Regression Study Guide

star
star
star
star
star
Last updated about 1 year ago
13 questions
1
1
1
1
1
1
1
1
1
1
1
1
1
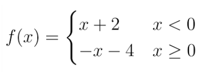
Question 1
1.
Use the piecewise function to determine the following:

Domain:_______
Range:_______
Root(s):_______
Y-Intercept:_______
Increasing Interval:_______
Decreasing Interval:_______
Constant Interval:_______
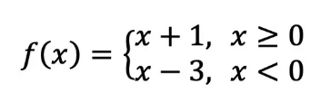
Question 2
2.
Use the piecewise function to determine the following:


Domain:_______
Range:_______
Root(s):_______
Y-Intercept:_______
Increasing Interval:_______
Decreasing Interval:_______
Constant Interval:_______
Question 3
3.

Given the piecewise function, what is f(1)?

Question 4
4.

Given the piecewise function, what is f(-4)?

Question 5
5.
The path of a model rocket can be described by the quadratic function
where y represents the height of the rocket, in meters, at time x seconds after takeoff.

a. What is the maximum height reached by the rocket?_______

b. When does the rocket reach its maximum height? _______

c. At what time does the rocket hit the ground?_______
Question 6
6.
A baseball is hit and follows a parabolic path described by the function
where t is the time in seconds after the ball is hit and h(t) is the height of the ball above the ground in meters.

a. What is the maximum height reached by the ball?_______

b. What is the initial height of the ball when it is hit?_______
Question 7
7.

Question 8
8.

Question 9
9.

Question 10
10.
The table below compares the distance a ball has traveled and the height.



a. Find the following regression equations with all values rounded to three decimal places for r2 round to four decimal places.

Quadratic:_______
r2 _______
Exponential:_______
r2 _______

b. Use your best fit model to predict the height of the ball after it has traveled for 17 feet. Round to three decimal places. _______
Question 11
11.
Suppose y varies directly as the square of x and y=12 when x=2.

a. Write y as a function of x. _______

b. Find the value of y when x=4. _______
Question 12
12.
If y varies directly as the square of u and inversely as the cube of v, and y=4 and u=2 and v=2,

a. Express y as a function of u and v. _______

b. Find the value of y when u=4 and v=4. _______
Question 13
13.

Neglecting air resistance, the distance a rock falls from rest varies directly as the square of time. If a rock falls 64 feet in 2 seconds, how far will it have fallen in 5 seconds?

The number of tomatoes produced in a crop at various summer temperatures is shown in the graph below. Which is the regression model that best represents this data?
Linear function of the form
Quadratic function of the form
Quadratic function of the form
Linear function of the form
The number of minutes napped per day compared to age is modeled by the graph below. Which is the regression model that best represents this data?
Linear function of the form
Quadratic function of the form
Quadratic function of the form
Linear function of the form
A projectile is launched into the air from the ground. The table shows the height of the projectile at different times.