6th Gr_Lesson 0 Day 3 Exit Ticket
star
star
star
star
star
Last updated 8 months ago
2 questions
Required
8
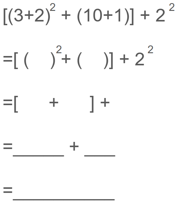
Evaluate the following expression.
Use the drag and drop feature to fill in the blanks to complete the math.

Other Answer Choices:
40
25
27
5
13
4
41
23
34
46
9
11
32
26
24
33
19
36
42
17
31
12
18
45
2
35
10
Required
0
Reflection: How do you feel about the math lesson today?
Reflection: How do you feel about the math lesson today?