Log in
Sign up for FREE
arrow_back
Library

STAAR Questions Session 7 - Interactions in Ecosystems; Plate Tectonic Theory; Plate Tectonics; Watersheds & Human Activity; Biodiversity

star
star
star
star
star
Last updated 2 months ago
5 questions
Required
1
Required
1
Required
1
Required
1
Required
1
Question 1
1.

Question 2
2.

Question 3
3.

Question 4
4.

Question 5
5.

Interactions in Ecosystems (6.12A)

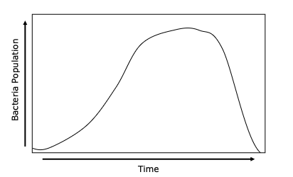
A scientist added bacteria to a sterile petri dish with a growth medium called
agar. No other materials were added. The graph shows the growth of bacteria
over time.

Which of these most likely explains why the bacteria population stopped
growing?
The bacteria evolved into another organism.
The bacteria could not produce any longer because the population was too
large.
The bacteria competed for nutrients and died after all of the nutrients were
consumed.
The bacteria came in contact with a virus that killed off the population.
Plate Tectonic Theory (7.10A)

Fossils of Mesosaurus, a freshwater animal that lived approximately 250 million
year ago, have been found on continents separated by saltwater oceans. The
discovery of the fossils in these locations suggests which of the following?
The fossils must have been transported by humans or other animals.
The fossils must have been separated as the continents slowly drifted apart
over time.
Weathering, erosion, and deposition moved the fossils.
Mesosaurus likely swam great distances between continents.
Watersheds and Human Activity (7.11A)

A teacher fills a bucket with sand and small pieces of gravel. The teacher pours
several cups of black coffee into the bucket as students observe the demonstration.
The setup is shown below.

This demonstration models which of the following?
Surface water runoff from a recent storm.
The purification of water through the water cycle.
The positive impact human activity has on a local watershed.
Percolation of polluted water into the groundwater supply.
Plate Tectonics (7.10B)

A group of students are asked by their teacher to make a model of a divergent
boundary. The students use boxes to represent two tectonic plates. The boxes
are slid in the directions of the arrows shown in the diagram below.

Which of the following is demonstrated by their model?
Formation of a rift valley
A major earthquake
A volcanic eruption
Mountain building
Biodiversity (8.12C)

Students from a class visited four different ecosystems on a recent field trip. They
recorded their observations in the data table below.

Based on these observations, which ecosystem is likely the most sustainable over
time?
Ecosystem 2, because it includes both fish and birds.
Ecosystem 3, because it has the greatest amount of insects.
Ecosystem 4, because it supports the greatest amount of organisms.
Ecosystem 1, because it has the fewest species.