LRHS STAAR Prep Warm Up (Cat 1/2)
star
star
star
star
star
Last updated 8 months ago
15 questions

1
The diagram illustrates the activity of vesicles during a cellular process.
Which statement best explains the function of the vesicles?
The diagram illustrates the activity of vesicles during a cellular process.
Which statement best explains the function of the vesicles?
1
In humans blood type is determined by the A, B, and O alleles. The A and B alleles are codominant to each other and dominant over the O allele. An individual with the AO genotype and an individual with the BO genotype can produce offspring with which of the following phenotypes?
In humans blood type is determined by the A, B, and O alleles. The A and B alleles are codominant to each other and dominant over the O allele. An individual with the AO genotype and an individual with the BO genotype can produce offspring with which of the following phenotypes?
1
What is the role of mRNA in expressing specialized structures?
What is the role of mRNA in expressing specialized structures?

1
A sequence of a DNA template strand is shown.
Which of these is the correct amino acid chain produced from the DNA template strand?
A sequence of a DNA template strand is shown.
Which of these is the correct amino acid chain produced from the DNA template strand?
1
An individual who participates in a long-distance run on a hot day will produce large quantities of sweat. As a result of the excessive sweating, the amount of urine produced by the kidneys will change.
How will the kidneys respond to help the individual’s body maintain homeostasis?
An individual who participates in a long-distance run on a hot day will produce large quantities of sweat. As a result of the excessive sweating, the amount of urine produced by the kidneys will change.
How will the kidneys respond to help the individual’s body maintain homeostasis?

1
In cattle the allele for cloven hooves (H) is dominant over the allele for mule-foot hooves (h). The phenotype for each trait is shown in this picture.
What is the probability of cloven hooves in the offspring of parents that are heterozygous for the trait?
In cattle the allele for cloven hooves (H) is dominant over the allele for mule-foot hooves (h). The phenotype for each trait is shown in this picture.
What is the probability of cloven hooves in the offspring of parents that are heterozygous for the trait?
1
How do the circulatory system and immune system work together to respond to an injury?
How do the circulatory system and immune system work together to respond to an injury?

1
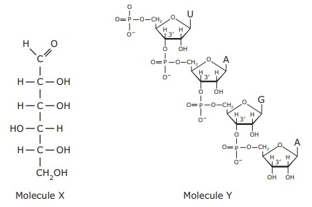
Two biomolecules are shown.
Which of the following best describes these biomolecules?
Two biomolecules are shown.
Which of the following best describes these biomolecules?

1
The karyotype, or chromosomal profile, for humans is shown. A karyotype can be used to investigate genetic disorders.
The chemical colchicine is used in the production of karyotypes. Colchicine prevents spindle fibers from forming during the cell cycle.
What is a result of preventing spindle fibers from forming?
The karyotype, or chromosomal profile, for humans is shown. A karyotype can be used to investigate genetic disorders.
The chemical colchicine is used in the production of karyotypes. Colchicine prevents spindle fibers from forming during the cell cycle.
What is a result of preventing spindle fibers from forming?

1
The diagram shows molecules that a mitochondrion uses and produces during a cellular process.
Which other molecule is a product of this process?
The diagram shows molecules that a mitochondrion uses and produces during a cellular process.
Which other molecule is a product of this process?

1
Transmembrane proteins span the width of cell membranes. Four types of transmembrane proteins are shown in a section of cell membrane.
Although these proteins have different specific functions, they all —
Transmembrane proteins span the width of cell membranes. Four types of transmembrane proteins are shown in a section of cell membrane.
Although these proteins have different specific functions, they all —

1
Normal cells have a contact inhibition feedback mechanism that prevents the cells from replicating when other cells are touched. A diagram of cells with contact inhibition and cells without contact inhibition is shown.
Which statement best describes what will happen to cells in an organism that lack contact inhibition?
Normal cells have a contact inhibition feedback mechanism that prevents the cells from replicating when other cells are touched. A diagram of cells with contact inhibition and cells without contact inhibition is shown.
Which statement best describes what will happen to cells in an organism that lack contact inhibition?

1
Which model accurately shows a cell progressing through mitosis?
Which model accurately shows a cell progressing through mitosis?

1
Which of these shows an example of an insertion mutation?
Which of these shows an example of an insertion mutation?
1
Which type of movement across a cell’s plasma membrane requires energy supplied by ATP?
Which type of movement across a cell’s plasma membrane requires energy supplied by ATP?