Log in
Sign up for FREE
arrow_back
Library

APStat Unit 7,8 and 9 Review MCQ's

star
star
star
star
star
Last updated 12 months ago
15 questions
1
1
1
1
1
1
1
1
1
1
1
1
1
1
1
Question 1
1.

Question 2
2.

Question 3
3.

Question 4
4.

Question 5
5.

Question 6
6.

Question 7
7.

Question 8
8.

Question 9
9.

Question 10
10.

Question 11
11.

Question 12
12.

Question 13
13.

Question 14
14.

Question 15
15.

A local arts council has 200 members. The council president wanted to estimate the percent of its members who have had experience in writing grants. The president randomly selected 30 members and surveyed the selected members on their grant-writing experience. Of the 30 selected members, 12 indicated that they did have the experience. Have the conditions for inference with a one-sample z-interval been met?
Yes, all conditions for inference have been met.
No, because the sample size is not less than 10 percent of the population size.
No, because the sample size is not large enough to satisfy the conditions for normality.
No, because the sample was not selected at random.
No, because the sample is not representative of the population.
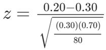
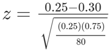
In a population of bats living in a certain region, 30 percent have a wingspan greater than 10 inches. In a random sample of 80 bats living outside of the region, 20 had a wingspan greater than 10 inches. Consider a one-sample z-test to investigate whether there is evidence that the proportion of bats with a wingspan greater than 10 inches living outside the region is different from that of the bats living in the region. Which of the following is the correct test statistic?
A two-sample t-test for a difference in means was conducted to investigate whether defensive players on a football team can bench-press more weight, on average, than offensive players. The conditions for inference were met, and the test produced a test statistic of t = 1.083 and a p-value of 0.15.
Based on the p-value and a significance level of α = 0.05, which of the following is the correct conclusion?
Reject the null hypothesis because 0.15 > 0.05. There is not convincing evidence that defensive players can bench-press more weight, on average, than offensive players.
Reject the null hypothesis because 0.15 > 0.05. There is convincing evidence that defensive players can bench-press more weight, on average, than offensive players.
Fail to reject the null hypothesis because 0.15 > 0.05. There is convincing evidence that defensive players can bench-press the same amount of weight, on average, as offensive players.
Fail to reject the null hypothesis because 0.15 > 0.05. There is not convincing evidence that defensive players can bench-press more weight, on average, than offensive players.
Fail to reject the null hypothesis because 0.15 > 0.05. There is convincing evidence that defensive players can bench-press more weight, on average, than offensive players.
In order to make statistical inferences when testing a population proportion p, which of the following conditions verify that inference procedures are appropriate?
I. The data are collected using a random sample or random assignment.
II. The sample size is less than 10 percent of the population size.
III. npo > 10 and n(1 - po) > 10 for sample size n and hypothesized proportion po.
II and III only
II only
I, II, and III
I only
III only
A fitness center piloted two new programs to help people reduce stress levels and maintain a healthy lifestyle. After one month, 112 of the 125 people who volunteered for a program in mindfulness reported a reduction in stress levels, and 110 of the 135 people who volunteered for a yoga program reported a reduction in stress levels. The fitness center wants to investigate whether there is a significant difference between the proportions of all people in the two programs who would report reductions in stress levels. Have the conditions for inference been met?
No, because the sizes of the samples are too large compared to the size of the population.
No, because the samples were not selected or assigned using a random method.
No, because the normality of the sampling distribution cannot be assumed; the number of people who did not experience stress relief is not large enough.
No, because the normality of the sampling distribution cannot be assumed; the number of people who experienced stress relief is not large enough.
Yes, because all conditions for making statistical inference have been met.
The weekly sales at two movie theaters were recorded for a random sample of 25 weeks. A 95 percent confidence interval for the difference in mean weekly sales for the two movie theaters was calculated as ($1,288,$2,586).
With all else remaining constant, which of the following would have resulted in a confidence interval narrower than the calculated interval?
An increase to 99 percent confidence
A sample mean greater than $1,937
A sample mean less than $1,937
A sample size less than 25
A sample size greater than 25
A large clinical trial was designed to determine whether a certain vitamin improves the general health of adults. The investigators first identified 85 variables that measure various aspects of the general health of adults. Because each adult in the clinical trial was to serve as his or her own control, the 85 variables were measured for each adult, both before taking the vitamin and after taking the vitamin for three months. The investigators then performed 85 matched-pair t-tests, one for each variable. They found statistically significant results at the 0.05 level in 2 of the variables, both in the direction of improved general health. Which of the following should the investigators conclude?
There is evidence that the vitamin improves the health of adults because 2 of the 85 tests were statistically significant.
There is evidence that the vitamin improves the health of adults because in clinical trials investigators typically underestimate the proportion of the population that is helped by a vitamin.
There is insufficient evidence that the vitamin improves the health of adults because the sample size of 85 is not large enough to draw a conclusion.
There is insufficient evidence that the vitamin improves the health of adults because at the 0.05 significance level, one could easily get statistically significant results in 2 out of 85 tests just due to chance variability.
No conclusion can be drawn because an even number of variables is needed for a matched-pairs design.
A manufacturer claims its Brand A battery lasts longer than its competitor’s Brand B battery. Nine batteries of each brand are tested independently, and the hours of battery life are shown in the table below.
Provided that the assumptions for inference are met, which of the following tests should be conducted to determine if Brand A batteries do, in fact, last longer than Brand B batteries?
A one-sided, paired t-test
A two-sided, two-sample t-test
A one-sided, two-sample z-test
A one-sided, two-sample t-test
A two-sided, two-sample z-test
A veterinarian keeps track of the types of animals treated by an animal clinic. The following distribution represents the percentages of animals the clinic has historically encountered.
If the animal clinic treats 230 animals in a month, how many of each animal type would be expected?
A survey of a random sample of 210 male teens and 228 female teens, ages 13 years to 17 years, found that 122 of the male teens and 160 of the female teens brush their teeth at least twice a day. If there is no difference between the proportions in the population of all male and female teens ages 13 years to 17 years who brush their teeth at least twice a day, approximately how many males and females in the sample would be expected to brush their teeth at least twice a day?
122 males and 160 females
135 males and 147 females
141 males and 141 females
219 males and 219 females
105 males and 114 females
For which of the following is a chi-square goodness-of-fit test most appropriate?
Estimating a difference between two population means
Determining whether a categorical variable has a significantly different distribution of proportions than the expected distribution
Finding the expected value of a probability distribution
Estimating a difference between two population proportions
Determining the best shape for a set of data
A company claims it audits its employees’ transactions based on their job level. For entry-level positions, the company claims that 50 percent get a basic audit, 30 percent get an enhanced audit, and 20 percent get a complete audit. The company tests this hypothesis using a random sample and finds X2 = 0.771 with a corresponding p–value of 0.68. Assuming conditions for inference were met, which of the following is the correct interpretation of the p–value?
If the null hypothesis were true, there would be a 68 percent chance of obtaining a chi-square value of 0.771.
There is a 68 percent chance of obtaining a chi-square value of at least 0.771.
If the null hypothesis were true, there would be a 68 percent chance that the company’s claim is correct.
If the null hypothesis were true, there would be a 68 percent chance of obtaining a chi-square value of at least 0.771.
There is a 68 percent chance that the company’s claim is correct.
Researchers are examining the relationship between hours of sleep and athletic performance among college athletes. Athletic performance will be measured on a numeric scale, with greater numbers indicating better performance. The researchers expect that the more hours the athletes sleep, the better they will perform. Assuming all conditions for inference are met, the researchers will create a 95 percent confidence interval for the slope of the regression line for predicting athletic performance from amount of sleep.
For which of the following would the confidence interval support the researchers’ expectations?
The confidence interval includes only negative values.
The confidence interval includes only positive values.
The confidence interval has a width greater than 1.
The confidence interval includes the value 0.
The confidence interval has a width less than 1.
A seafood festival organizer is interested in whether there is a relationship between the number of ingredients in the clam chowders that are entered in the festival’s clam chowder contest and the ratings given to the chowders by the judges. The organizer requires each of the twelve restaurants in the competition to list all of its chowder's ingredients and requires each judge who tastes the clam chowders to rate each chowder from one through ten on a note card. The organizer then randomly selects twenty-five note cards. Assuming that all conditions for inference are met, which of the following significance tests should be used to investigate whether having more ingredients in the chowders is associated with a reduction in the ratings given to the chowders by the judges?
A matched pairs t-test for a mean difference
A two-sample t-test for a difference between means
A chi-square test of independence
A two-sample z-test for a difference between proportions
A linear regression t-test for slope
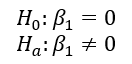
A scientist claims that there is a linear relationship between a lake’s flow rate and its runoff factor. The scientist collected data and used the data to test the claim that there is a linear relationship at a significance level of α = 0.05. The scientist tested the following hypotheses.
The scientist found a p-value of 0.02 for the test. Which of the following is a correct conclusion about the scientist’s claim?
The null hypothesis is rejected since 0.02 < 0.05. There is sufficient statistical evidence to suggest that there is a linear relationship between a lake’s flow rate and runoff factor.
The null hypothesis is not rejected since 0.02 < 0.05. There is sufficient evidence to suggest that there is a linear relationship between a lake’s flow rate and runoff factor.
The null hypothesis is rejected since 0.02 < 0.05. There is not sufficient evidence to suggest that there is a linear relationship between a lake’s flow rate and runoff factor.
The null hypothesis is not rejected since 0.02 < 0.05. There is not sufficient evidence to suggest that there is a linear relationship between a lake’s flow rate and runoff factor.
The null hypothesis is accepted since 0.02 < 0.05. There is sufficient evidence to suggest that there is not a linear relationship between a lake’s flow rate and runoff factor.