The Periodic Table (ScChem)
star
star
star
star
star
Last updated 8 months ago
18 questions
Note from the author:
Periodic Table Trends, Group 1, 17 and 18 properties

Required
1
Required
1
Required
1
Required
1

Required
1
Required
1
Required
1

Required
1
Required
1
Required
1
Required
1

Required
1
Q12(a)
Q12(a)
Required
1
Q12(b)
Q12(b)
Required
1
Q12(c)(i)
Q12(c)(i)
Required
2
Q12(c)(ii)
Q12(c)(ii)

Required
1
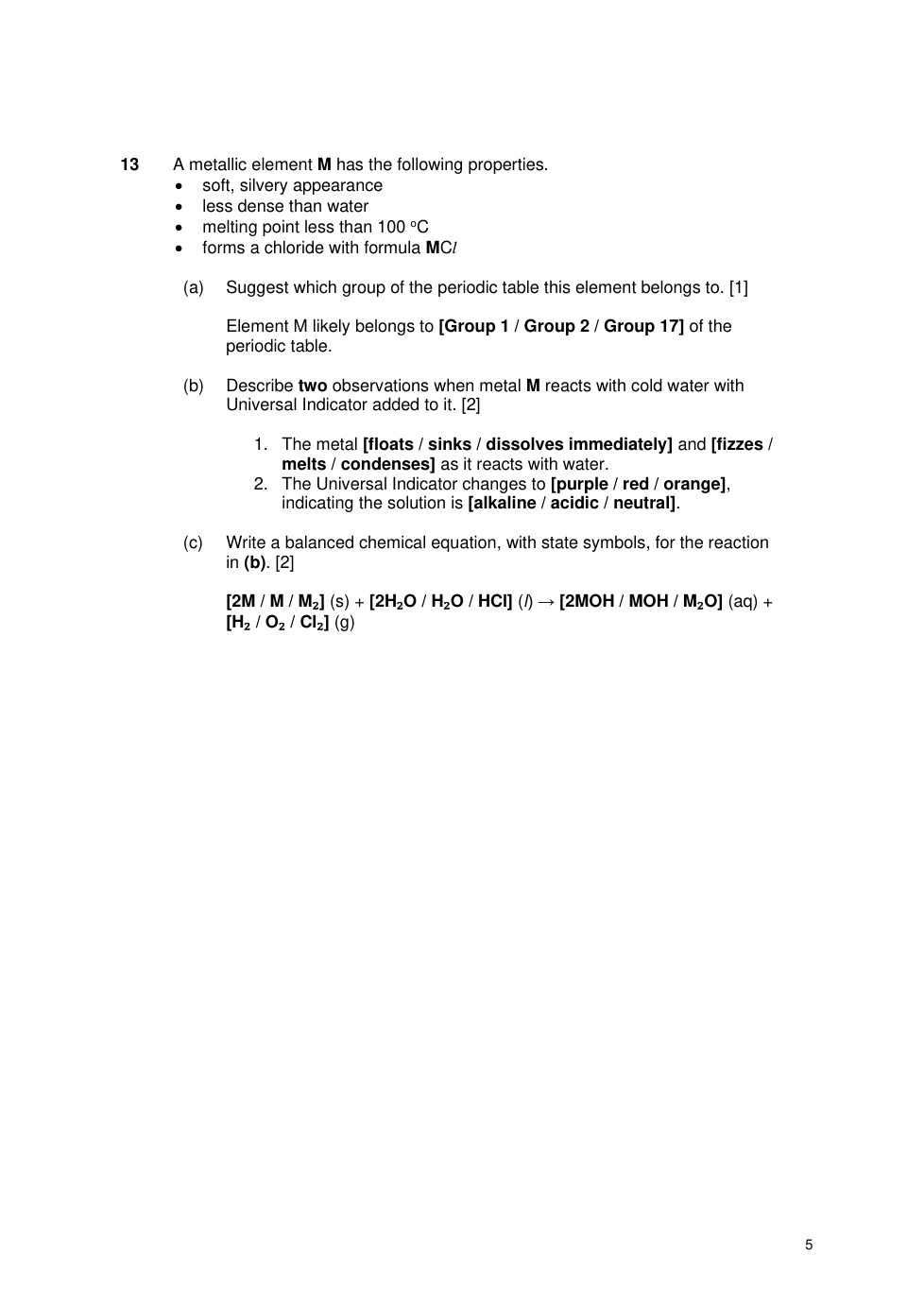
Q13(a)
Q13(a)
Required
1
Q13(b)
Q13(b)
Required
2
Q13(c)
Q13(c)