Log in
Sign up for FREE
arrow_back
Library

Algebra 1 Semester 2 Final Exam 24-25 Fields

star
star
star
star
star
Last updated 12 months ago
19 questions
Required
1
Required
1
Required
1
Required
1
Required
1
Required
1
Required
1
Required
1
Required
1
Required
1
Required
1
Required
1
Required
1
Required
1
Required
1
Required
1
Required
1
Required
1
Required
1
Question 1
1.

Question 2
2.

Question 3
3.

Question 4
4.

Question 5
5.

Graph the function g(x) = -5(x + 4)^{2} + 5

  • Click a Graph tab (Graph 1, Graph 2, and so on) for each graph you need to plot.
  • Click on the graph background to add a point. Add two points to create a graph. Drag a point or type in x and y coordinates to edit its position. Click on a point to delete it.
  • After creating your graph, you can check the dashed line box.
Question 6
6.

Question 7
7.

Question 8
8.

Question 9
9.

Question 10
10.

Question 11
11.

Question 12
12.

Question 13
13.

Question 14
14.

Question 15
15.

Question 16
16.

Question 17
17.

Question 18
18.

Question 19
19.

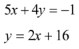
Solve the system of linear equations. Check your solution

(6, -5)
(5, -6)
(-6, 5)
(-5, 6)
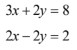
Solve the system of linear equations. Check your solution

(10, 11)
(10, -11)
(-2, 1)
(2, 1)
Find the sum (add them) (5y - 4) + (y + 9)
6y + 5
y + 10
6y - 4
4y - 13
Calculate the difference (subtract them) (-6x - x^{2} +8) - (-4 - 4x + 5x^2)
-6x^{2} - 2x + 12
4x^{2} - 2x + 12
4x^{2} - 10x + 4
-6x^{2} - 10x + 4
Find the product (multiply) (m + 1)(m - 6)
m^{2} - 5m + 6
m^{2} + m - 6
m^{2} - 6
m^{2} - 5m - 6
Find the product

Find the product

b^{2}-16b+64
b^{2}+16b+64
b^{2}-64
b^{2}+64
Simplify the expression. Write your answer using only POSITIVE exponents

-c^3/d^5
c^3/d^5
-d^5/c^3
d^5/c^3
Simplify the expression. Write your answer using only POSITIVE exponents.

c^12
c^6
1/c^6
c^2
Simplify the expression. Write your answer using only POSITIVE exponents.

16t^16
2t^8
1/2t^8
-16t^16
Factor the polynomial z^{2} + 9z + 20 completely. And select the ONE factor shown.
(z + 5)
(z + 20)
(z - 4)
(z + 9)
Factor the polynomial x^{2} - 11x + 24 completely. And select the ONE factor shown.
(x + 3)
(x - 8)
(x + 8)
(x - 6)
Factor the polynomial completely. And select the ONE factor shown.

(x − 7)
(x + 1)
(2x − 7)
(x + 7)
2
(2x + 7)
Solve the equation.

Solve the equation

d = -2, d = 2
d = -\frac{3}{2}, d = 2
d = \frac{2}{3}, d = -\frac{1}{2}
d = -\frac{2}{3}, d = \frac{1}{2}
Solve the equation by completing the square, factoring, or quadratic equation

x = 7, x = 5
no real solutions
x = -7, x = -5
x = 5
Solve the equation x^{2} + 16x + 64 = 0. Complete the square, factor, or use the Quadratic Equation.
no real solutions
x = 8
x = -8
x = -8, x = 8
20. Solve the equation x^{2} + 8x - 7 = 0. Complete the square or use the Quadratic Equation.
x = 4 \pm \sqrt{23}
x = -8 \pm \sqrt{23}
x = -4 \pm \sqrt{23}
x = -1, x = -7