Log in
Sign up for FREE
arrow_back
Library

Unit 1 Quiz Review

star
star
star
star
star
Last updated 9 months ago
14 questions
4
1.5
2.5
1.5
1.5
1.5
3
4.5
1.5
1.5
1.5
1
1
Question 1
1.

Graph the piecewise function. Turn in your graph to your teacher.

Did you turn in the graph?

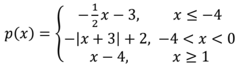
Question 2
2.
Evaluate. If the answer is none, type "none".






p(-2)= _______ p(-4)= _______
p(0) = _______ p(-7) = _______
p(x)= -2; x=_______
p(x) =-1; x=_______

Write domain in interval notation. _______
Write range in interval notation. _______
Question 3
3.
Given two points (-3,-11) and (6,-5) on a line:
  • Identify the slope of the line containing the points: m= _______
  • Write the point-slope form of the equation of the line _______
  • Write the equation of the line in slope-intercept form _______
Question 4
4.
Evaluate the functions below. Enter ONLY the solution


c(-3)=_______
a(-2)= _______
b(2x-4)= _______
d(x+3)= _______
b(x)=3; x= _______
Question 5
5.
Use the graph below to answer the following questions:



Using interval notation,
Identify the Domain. _______
Identify the Range. _______
Is the graph a function? Yes or no _______
Question 6
6.
Use the graph below to answer the following questions:



Using interval notation,
Identify the Domain _______
Identify the Range _______
Is the graph a function? Yes or no _______
Question 7
7.
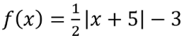
Given the piecewise function f(x),


Using interval notation,
Identify the domain: _______
Identify the range: _______
Is the graph a function? Yes or no _______
Question 8
8.
Write the equation for the piecewise function below


_______ ,_______
_______,_______
_______ ,_______
Graph f(x):
4.5
Question 9
9.
Evaluate Using the graph of the piecewise function f(x):
f(-5)=_______
f(6)= _______
f(2)= _______
f(0)= _______
f(x)=3; x=_______
f(x)=6; x= _______
f(x) = -5; x=_______
Question 10
10.
Write the equation for the piecewise function


_______ ,_______
_______,_______
_______ ,_______

State the domain and range of f(x) in interval notation.
Domain _______ Range_______

Is f(x) a function? yes or no _______
Question 11
11.

Question 12
12.
Identify the vertex _______
State the domain _______ and range _______ in interval notation.
Question 13
13.
Use the graph of f(x) to answer the following questions:

Write the equation for the graph _______

Using interval notation:
State the the domain _______
State the range_______
Question 14
14.

Given the function f(x)=-3|x|, Write the equation g(x) that has been translated with a horizontal shift right four, a vertical compression of 2/3, and a vertical shift down 1, with a reflection over the x-axis.
Type g(x)=

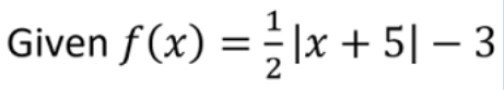
State the transformations from g(x)=|x| to f(x)

Vertical Compression of 1/2
Vertical Stretch of 1/2
Right 5
Left 5
Down 5
Up 5
Right 3
Left 3
Down 3
Up 3
Horizontal compression
reflection over the x axis
reflection over the y axis