Log in
Sign up for FREE
arrow_back
Library
Copy of Skill Check #14.2 Nuclear Chemistry (Unit 7 Investigation 14 Experience 2) (7/30/2025)
By Didi Maloney
star
star
star
star
star
Share
share
Last updated 9 months ago
7 questions
Add this activity
Required
1
Required
1
Required
1
Required
1
Required
1
Required
1
Required
2
Question 1
1.
What type of reaction is this?
Fusion
Fission
Question 2
2.
What type of reaction is this?
Fission
Fusion
Question 3
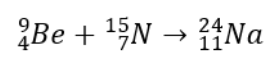
3.
Using the space below, complete the missing section of this nuclear reaction.
visibility
View drawing
Question 4
4.
Using the space below, complete the missing section of this nuclear reaction.
visibility
View drawing
Question 5
5.
Complete the missing model. What is the resulting daughter isotope for STEP 2?
Question 6
6.
Complete the missing model. What is the resulting daughter isotope for STEP 3?
Question 7
7.
Complete the missing model. What is the resulting daughter isotope for STEP 1?