Julie found a job listed in classified ads. It has a yearly salary of $48K. What is the weekly salary to the nearest dollar?
1 point
1
Question 2
2.
Kathy found a job with a monthly salary of $2,839. What is her annual salary?
1 point
1
Question 3
3.
Alyssa makes $600 a week, what is her annual salary using K notation?
1 point
1
Question 4
4.
Andrew took a job through an agency. The job pays $495 a week. He must pay a fee of 20% of his first four weeks' pay. How much must Andrew pay the agency?
1 point
1
Question 5
5.
How many times a year does each time frame happen?
Draggable item
arrow_right_alt
Corresponding Item
Semimonthly
arrow_right_alt
52
Monthly
arrow_right_alt
26
Semiannually
arrow_right_alt
24
Quarterly
arrow_right_alt
12
Biweekly
arrow_right_alt
4
Weekly
arrow_right_alt
2
1 point
1
Question 6
6.
Match the following definition to its word.
Draggable item
arrow_right_alt
Corresponding Item
FICA
arrow_right_alt
medicare and social security taxes
net pay
arrow_right_alt
working more than regular hours scheduled
overtime
arrow_right_alt
a set amount paid for each hour worked.
gross pay
arrow_right_alt
amount before taxes are taken out
hourly rate
arrow_right_alt
amount after taxes are taken out
1 point
1
Question 7
7.
Wall-E earns $14.30 an hour for working part-time. He worked the following hours this week: 4 hours on Monday, 3 hours on Tuesday, 5.5 hours on Friday, and 8 on Saturday. What is his gross pay for the week?
1 point
1
Question 8
8.
Jesse works at the gas station and earns $17.40 per hour. For overtime, Jesse gets paid time and a half. What would Jesse get paid per hour if he worked overtime?
1 point
1
Question 9
9.
Andrew gets paid $16.22 at Chik Fil A and gets paid time and a half for overtime. If Andrew, worked 8 hours of overtime, how much was his overtime pay?
Angel regularly works a 40 hour week and earns $13.50 an hour. He received time and a half for each hour of overtime he works. Last week he worked 42 hours.
1 point
1
Question 10
10.
What was Angel's regular pay?
1 point
1
Question 11
11.
What was his overtime pay?
1 point
1
Question 12
12.
What was Angel's total gross pay?
1 point
1
Question 13
13.
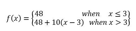
The local hospital placed an ad in the classified section of their online and printed local newspaper. The following piecewise function represents the cost per line:
Determine the difference between a 3-line ad and an 8-line ad.
1 point
1
Question 14
14.
Screen-printing agency charges a company $180 to post a job online. If the agency posts three or more jobs, the cost is $160 per job posting. What is the percent discount of posting one job to three jobs? Round to the nearest tenth.
1 point
1
Question 15
15.
Pablo signed a 4 year contract. His salary increases 2.8% every year. His starting salary is $65K. What will his salary be in 4 years?
1 point
1
Question 16
16.
Mr. Lee wrote a textbook for a history book publisher. He will receive 14% royalties for any books sold every year for the next 5 years. In years 1 and 2, the book was sold for $82.95, and he sold 72,000 copies the first year and 102,000 copies the second year. How much did he receive in royalties over the first two years?
1 point
1
Question 17
17.
Tania sells jewelry and gets paid hourly and commission. She earns $15 an hour and earns a 6% commission on whatever jewelry she sells. She sold $2,300 worth of jewelry and worked 25 hours. How much was she paid?
1 point
1
Question 18
18.
Alex works in the fields. It's cantaloupe season so he earns $14.80 per box of cantaloupe filled. After 3 filled boxes, he earns $18.90 per box. If he filled 8 boxes, how much did he earn that day?
1 point
1
Question 19
19.
Javi's employer offers him health insurance. Javi pays 20% of his health insurance. He must pay $78 biweekly. How much does his health care cost in total per year?
1 point
1
Question 20
20.
Manny's employer offers him health insurance. Manny pays 15% of his health insurance. He must pay $140 monthly. How much does his health care cost in total per year?
1 point
1
Question 21
21.
Luna is the director of the recreational center and has been working there for 26 years. Her last three salaries were $87,300, $91,000, and $87,900. Her pension is calculated by multiplying the number of years worked times the average of the last three salaries and multiplying by 2.9%. Calculate her pension.
1 point
1
Question 22
22.
Lane is about to retire from working 30 years at Vons. His last four salaries were $56,300, $61,000, $59,200, and $58,400. His pension is calculated by multiplying the number of years worked times the average of the last four salaries and multiplying by 3.2%. Calculate his pension.
1 point
1
Question 23
23.
Ruben got his first job in 2021 and social security taxes were at 6.2% with a maximum income of up to $147,000. Medicare tax was 1.45%. If he earned $180,000 determine his FICA taxes.
1 point
1
Question 24
24.
Jared was just hired by an accounting corporation this year. He will pay social security taxes at 6.2% with a maximum income of up to $160,200. Medicare tax is 1.45%. If he earned $91,000 determine his FICA taxes.
1 point
1
Question 25
25.
Jackie paid $5,270 in social security taxes last year. The social security rate was 6.2%. Determine how much money she earned last year.
1 point
1
Question 26
26.
Darla paid $3,844 in social security taxes last year. The social security rate was 6.2%. Determine how much money she earned last year.
Nancy needs to buy some vases for her banquet at work. She needs 32 vases, but boxes are only sold in boxes of 12.
1 point
1
Question 27
27.
How many boxes must Nancy order?
1 point
1
Question 28
28.
If each box cost $46.50, how much will it cost her to purchase them with an 8% tax?