Log in
Sign up for FREE
arrow_back
Library
A2 Unit 3 Assessment
By Ms. Gabel
star
star
star
star
star
Share
share
Last updated about 2 months ago
10 questions
Add this activity
zoom_in
Required
2 points
2
Question 1
1.
zoom_in
Required
2 points
2
Question 2
2.
zoom_in
Required
2 points
2
Question 3
3.
zoom_in
Required
2 points
2
Question 4
4.
zoom_in
Required
2 points
2
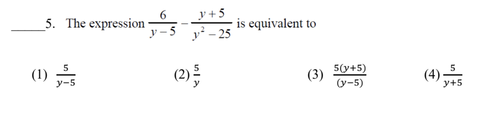
Question 5
5.
zoom_in
Required
2 points
2
Question 6
6.
zoom_in
Required
2 points
2
Question 7
7.
zoom_in
Required
2 points
2
Question 8
8.
zoom_in
Required
4 points
4
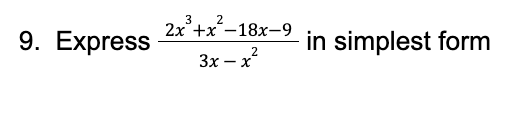
Question 9
9.
visibility
View drawing
zoom_in
Required
4 points
4
Question 10
10.
visibility
View drawing