7.NS.2 Extra (Philadelphia)
star
star
star
star
star
Last updated about 1 month ago
15 questions

Required
1

Required
1

Required
1

Required
1

Required
1

Required
1

Required
1

Required
1

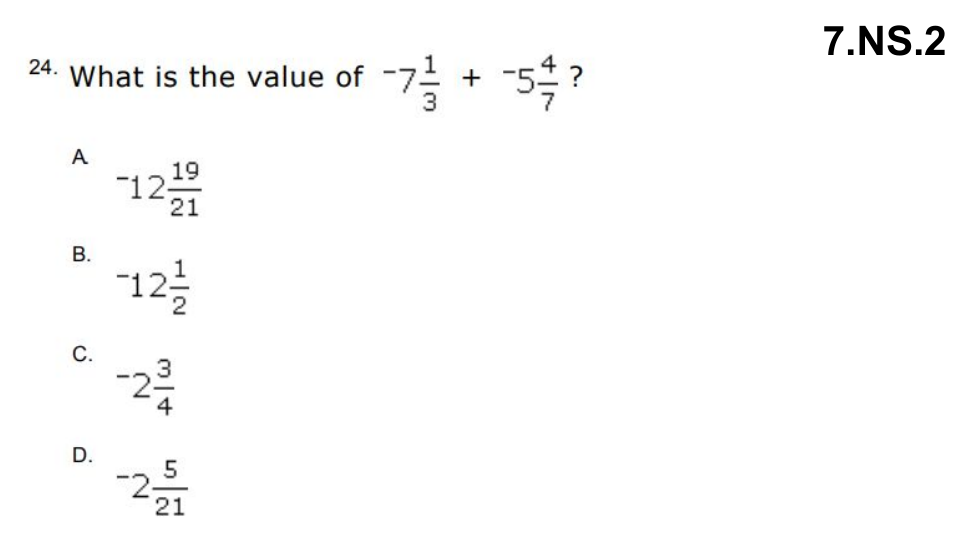
Required
1

Required
1

Required
1

Required
1

Required
1

Required
1

Required
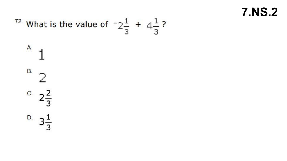
1