B12 | M8 (Graphing Tables) update
star
star
star
star
star
Last updated about 1 month ago
3 questions
Required
1
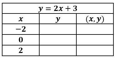
- Click the graph tab.
- Click on the graph background to add a point. Drag a point or type in x and y coordinates to edit its position. Click on a point to delete it.

Required
2
Required
1
- Click the graph tab.
- Click on the graph background to add a point. Add two points to create a graph. Drag a point or type in x and y coordinates to edit its position. Click on a point to delete it.